| ²é¿´: 672 | »Ø¸´: 2 | |
´óÁ¦2010½ð³æ (ÖøÃûдÊÖ)
|
[ÇóÖú]
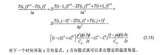
Çë½Ì¸ßÊÖ£¬½»ÌæÏÔÒþʽÔõôÀí½â£¿£¿ ÒÑÓÐ1È˲ÎÓë
|
|
|
|
Ï£¶û²®ÌØÄ¾³æ (ÕýʽдÊÖ)
|
|
|
2Â¥2018-03-30 21:38:04
|
|
Ï£¶û²®ÌØÄ¾³æ (ÕýʽдÊÖ)
|
|
|
3Â¥2018-03-30 21:39:03
|
|













»Ø¸´´ËÂ¥