| 查看: 1800 | 回复: 20 | ||
[交流]
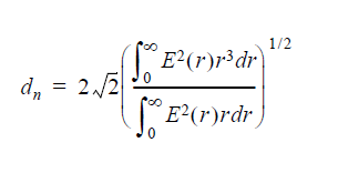
矩形波导的MFD定义
|
||
» 抢金币啦!回帖就可以得到:
数一英一硕士调剂(双一流高校)
+1/190
西南交通大学医学院招收生物医学工程和材料与化工专业硕士研究生
+1/183
中国科学院青岛生物能源与过程研究所 招生2-3名联培生
+1/180
香港中文大学(深圳)靳羽华教授交叉实验室高薪诚聘博士后(光致变色方向)
+2/122
Postdoc position in Hangzhou Normal University (陈健翔组博后招聘)
+1/83
中山大学附属医院实验和生信科研助理招聘
+1/81
南方科技大学王鹏团队诚聘药物化学、化学探针、药物递送博士后
+1/80
北京-89175-事业单位-诚征女友
+1/65
浙江省人民医院博士后岗位招聘
+1/50
中国石油大学(北京)国家级大人才团队博士招生1名:化学、材料、石油工程:油田化学
+1/38
招收2026年材料与化工专硕调剂,山东省属重点大学,过国家线即可调剂,名额充足
+2/30
【实战型】【生物医药】2026青岛大学招博士生 含少数民族骨干计划2名!
+1/17
年薪约32-60万!成会明院士团队诚聘材料理论计算博士后(长期有效)
+1/16
中国民航飞行学院先进连接团队招收航空宇航、航空机械专业硕士研究生(学硕专硕均可)
+1/7
【第三轮招生】澳科大诚招2026年秋季药剂学硕士研究生(3月31日下午18:00截止)
+1/4
26年招收07 08学术型/专业型硕士研究生
+1/4
一志愿西南交大机械专硕343求调剂
+1/3
各种IgG抗体表达系统
+1/3
2026调剂硕士生招生—北京双一流学科高校环境科学与工程专业
+1/2
南昌航空大学拟招收飞行器设计或计算空气动力学研究方向博士生 1名
+1/2
2楼2016-09-30 16:18:43
4楼2016-09-30 16:54:27
6楼2016-09-30 17:20:25
16楼2016-10-01 20:38:17
简单回复
hydzp3楼
2016-09-30 16:19
回复
pakchoi(金币+1): 谢谢参与
a
dsctg5楼
2016-09-30 17:08
回复
pakchoi(金币+1): 谢谢参与
youngen7楼
2016-09-30 17:26
回复
pakchoi(金币+1): 谢谢参与
2016-09-30 17:33
回复
pakchoi(金币+1): 谢谢参与
2016-09-30 17:47
回复
pakchoi(金币+1): 谢谢参与
bj200898910楼
2016-09-30 18:07
回复
pakchoi(金币+1): 谢谢参与
pcycj11楼
2016-09-30 18:28
回复
pakchoi(金币+1): 谢谢参与
剑之横12楼
2016-09-30 18:30
回复
pakchoi(金币+1): 谢谢参与
他 发自小木虫Android客户端
shenrenren13楼
2016-09-30 18:37
回复
pakchoi(金币+1): 谢谢参与
wl2009883614楼
2016-09-30 18:48
回复
pakchoi(金币+1): 谢谢参与
。
jixiangbao15楼
2016-10-01 00:46
回复
pakchoi(金币+1): 谢谢参与
tzynew17楼
2016-10-01 20:42
回复
pakchoi(金币+1): 谢谢参与

psylhh18楼
2016-10-01 21:00
回复
pakchoi(金币+1): 谢谢参与
tangbohejin19楼
2016-10-03 11:00
回复
pakchoi(金币+1): 谢谢参与
wtbccq50520楼
2016-10-03 23:47
回复
pakchoi(金币+1): 谢谢参与
xiaoqiuqiu2021楼
2016-10-05 06:12
回复
pakchoi(金币+1): 谢谢参与













回复此楼