| 查看: 1703 | 回复: 15 | |||
[求助]
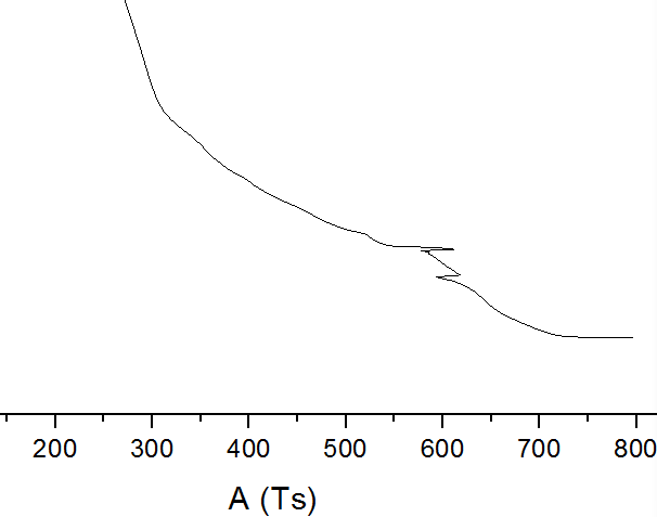
热重分析求助,热重图谱出现了Z字折线,这是什么原因引起的呢?
|
|||
|
如题,样品温度与参比温度相差几十度,热重图谱出现了Z字折线,请问为什么会出现这样的情况呢?是由于仪器出现问题还是放热太严重引起的呢?这样的数据,可以换成以时间为横坐标吗?不过按说十几毫克不能放热这么多吧,请各位指点迷津啊。 热重.png |
» 猜你喜欢
求调剂材料学硕080500,总分289分
已经有20人回复
070300化学求调剂
已经有5人回复
085600材料与化工
已经有10人回复
北科281学硕材料求调剂
已经有7人回复
276求调剂。有半年电池和半年高分子实习经历
已经有4人回复
284求调剂
已经有6人回复
306求调剂
已经有7人回复
291求调剂
已经有5人回复
070300,一志愿北航320求调剂
已经有5人回复
0703 调剂
已经有6人回复
stonegold
至尊木虫 (知名作家)
铁杆木虫
- 应助: 294 (大学生)
- 金币: 16148.9
- 散金: 893
- 红花: 45
- 沙发: 4
- 帖子: 8096
- 在线: 375.2小时
- 虫号: 2410267
- 注册: 2013-04-10
- 专业: 无机材料化学
4楼2016-10-01 11:47:06
Mr__Right
专家顾问 (著名写手)
-

专家经验: +31 - 应助: 317 (大学生)
- 金币: 14456.3
- 散金: 500
- 红花: 54
- 帖子: 2716
- 在线: 950.6小时
- 虫号: 1972612
- 注册: 2012-09-04
- 性别: GG
- 专业: 应用数学方法
- 管辖: 程序语言

5楼2016-10-01 21:54:24
2楼2016-09-30 15:09:43
myfairy1314
银虫 (正式写手)
- 应助: 12 (小学生)
- 金币: 374.8
- 散金: 2308
- 红花: 7
- 帖子: 637
- 在线: 280小时
- 虫号: 1555011
- 注册: 2011-12-28
- 专业: 高分子科学
3楼2016-10-01 10:55:47
xiaohu2014
铁虫 (小有名气)
- 应助: 1 (幼儿园)
- 金币: 446.5
- 散金: 1350
- 红花: 11
- 帖子: 295
- 在线: 108.3小时
- 虫号: 2294610
- 注册: 2013-02-23
- 性别: GG
- 专业: 电工材料特性及其应用
6楼2016-10-02 14:34:03
爱在cc
木虫 (著名写手)
- 应助: 3 (幼儿园)
- 金币: 12580.5
- 散金: 99
- 红花: 3
- 帖子: 1732
- 在线: 256.9小时
- 虫号: 2074772
- 注册: 2012-10-20
- 性别: GG
- 专业: 聚合物共混与复合材料
7楼2016-10-02 14:49:21
8楼2016-10-02 15:23:11
hdwcbz
木虫 (正式写手)
- 应助: 87 (初中生)
- 金币: 1669.6
- 散金: 552
- 红花: 28
- 帖子: 698
- 在线: 145.5小时
- 虫号: 3440128
- 注册: 2014-09-25
- 性别: GG
- 专业: 功能与智能高分子

9楼2016-10-03 13:09:15
hdwcbz
木虫 (正式写手)
- 应助: 87 (初中生)
- 金币: 1669.6
- 散金: 552
- 红花: 28
- 帖子: 698
- 在线: 145.5小时
- 虫号: 3440128
- 注册: 2014-09-25
- 性别: GG
- 专业: 功能与智能高分子

10楼2016-10-03 13:09:30













回复此楼
请各位帮忙啦!
未央--