| 查看: 1170 | 回复: 2 | ||
lucheng3908金虫 (正式写手)
|
[求助]
EIS谱求助
|
|
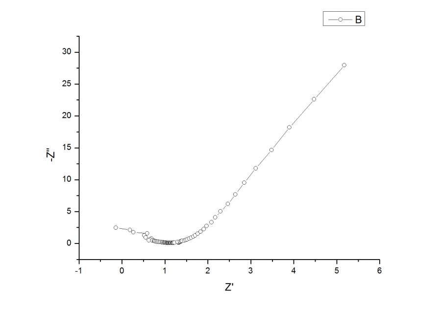
碳材料涂覆在泡沫镍上,做三电极测试,电解液是2M KOH,参比电极是Ag/AgCl。仪器是IVIUM的,测出来的EIS高频区没有常见的半圆,反而整体类似2次函数图像。想求教各位,这是什么情况,该怎么分析或者调整。图谱和测试参数如图所示。 EIS.jpg 1.PNG 2.PNG [ Last edited by lucheng3908 on 2016-9-28 at 12:29 ] |
» 猜你喜欢
德国Karlsruhe Institute of Technology招收电化学储能及联合培养CSC博士等
已经有20人回复
德国Karlsruhe Institute of Technology招收电化学储能及联合培养CSC博士
已经有24人回复
物理化学论文润色/翻译怎么收费?
已经有114人回复
德国Karlsruhe Institute of Technology招收电化学储能及联合培养CSC博士
已经有1人回复
固态锂金属电池迁移数计算求助
已经有1人回复
荷兰奈梅亨大学赵文博与Galimberti课题组招收理论计算CSC博士 2000 欧元/月+房补
已经有0人回复
26储能博士申请自荐
已经有22人回复
上海交通大学--宁波东方理工大学电池方向博士招生
已经有10人回复
海南大学全国重点实验室杨金霖老师招收储能电池方向博士生(2026年3月报名,9月入学)
已经有1人回复
海南师范大学2026年博士研究生招收 (在职想提升学历人员可报考) 申请考核制+普通招考
已经有0人回复
申博求助
已经有0人回复
» 本主题相关商家推荐: (我也要在这里推广)
lucheng3908
金虫 (正式写手)
- 应助: 17 (小学生)
- 金币: 1120.4
- 散金: 13
- 红花: 1
- 沙发: 1
- 帖子: 430
- 在线: 106.4小时
- 虫号: 2290456
- 注册: 2013-02-20
- 性别: GG
- 专业: 生物物理化学
2楼2016-09-29 09:27:17
3楼2018-03-01 15:27:06













回复此楼