| 查看: 5576 | 回复: 2 | ||
[求助]
dpv的参数怎么设置呢?参数都代表什么意思呀?
|
|
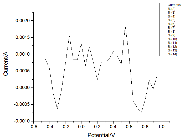
第一幅图是自己用第二幅图和第三幅图设置的参数所做出来的dpv图,最后一幅图是论文里面的dpv以及所设置的参数,我也用过论文里面的参数,但做出来的曲线也不和论文里面的一样,也是没有峰,而且是来回震荡的曲线。求大神指点了,现在忙的做实验等的发论文。谢谢大家了 dpv.png P60928-090436.jpg P60928-090532.jpg 论文里面的dpv.png |
» 猜你喜欢
锂离子电池循环寿命衰减过快,求机理分析与改进思路
已经有2人回复
求博导收留
已经有6人回复
分析化学论文润色/翻译怎么收费?
已经有61人回复
CSC & MSCA 博洛尼亚大学能源材料课题组博士/博士后招生|MSCA经费充足、排名优
已经有6人回复
德国Karlsruhe Institute of Technology招收电化学储能及联合培养CSC博士等
已经有20人回复
德国Karlsruhe Institute of Technology招收电化学储能及联合培养CSC博士
已经有24人回复
德国Karlsruhe Institute of Technology招收电化学储能及联合培养CSC博士
已经有1人回复
固态锂金属电池迁移数计算求助
已经有1人回复
荷兰奈梅亨大学赵文博与Galimberti课题组招收理论计算CSC博士 2000 欧元/月+房补
已经有0人回复
26储能博士申请自荐
已经有22人回复
上海交通大学--宁波东方理工大学电池方向博士招生
已经有10人回复

2楼2016-11-14 10:25:47
3楼2018-09-25 11:02:38













回复此楼