| 查看: 845 | 回复: 1 | |
爱搁浅cll铜虫 (小有名气)
|
[求助]
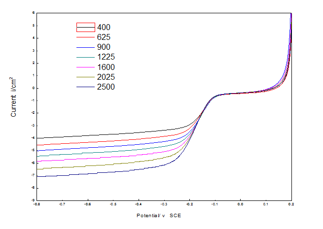
氧还原LSV 曲线
|
![]() |
|
|
|
|
13477047489新虫 (小有名气)
|
|
|
2楼2017-04-01 15:12:28
|
|














回复此楼