| ²é¿´: 1586 | »Ø¸´: 8 | ||
UANENG2008гæ (СÓÐÃûÆø)
|
[ÇóÖú]
¸´±äº¯ÊýÇóµ¼Ïà¹Ø ÒÑÓÐ1È˲ÎÓë
|
|
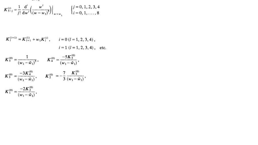
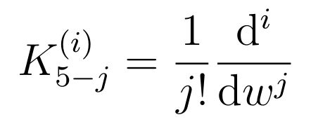
ÈçͼËùʾ£¬wΪһ¸ö¸´Êý£¬ÏȶԹ«Ê½Çóµ¼£¬ÔÙ½«w1µÄÖµ´øÈëw£¬ÎÒÏëÎÊÏÂÔõôÓÉÉÏÃæµÄÇóµ¼¹«Ê½£¬µÃµ½ÏÂÃæµÄµÝÍÆ¹ØÏµ£¿»¹ÓÐi=0µÄÖµÊÇÔõôËã³öÀ´µÄ£¬Ôõô»áÓÐwµÄ¹²é£¿£¿ ÇóÖú.jpg |
» ²ÂÄãϲ»¶
287Çóµ÷¼Á
ÒѾÓÐ5È˻ظ´
22408 344·Ö Çóµ÷¼Á Ò»Ö¾Ô¸ »ªµç¼ÆËã»ú¼¼Êõ
ÒѾÓÐ3È˻ظ´
289Çóµ÷¼Á
ÒѾÓÐ3È˻ظ´
317Çóµ÷¼Á
ÒѾÓÐ10È˻ظ´
¹ãÎ÷´óѧ¼ÒÇÝÒÅ´«ÓýÖÖ¿ÎÌâ×é2026Äê˶ʿÕÐÉú£¨½ÓÊÕ¼ÆËã»úרҵµ÷¼Á£©
ÒѾÓÐ3È˻ظ´
ѧУÒѾÌá½»µ½NSFC£¬»¹ÄÜÐÞ¸ÄÂð£¿
ÒѾÓÐ8È˻ظ´
08¹¤Ñ§µ÷¼Á
ÒѾÓÐ5È˻ظ´
281Çóµ÷¼Á£¨0805£©
ÒѾÓÐ25È˻ظ´
085600²ÄÁÏÓ뻯¹¤
ÒѾÓÐ6È˻ظ´
265Çóµ÷¼Á
ÒѾÓÐ8È˻ظ´
» ±¾Ö÷ÌâÏà¹Ø¼ÛÖµÌùÍÆ¼ö£¬¶ÔÄúͬÑùÓаïÖú:
Õã½´óѧµç·ÔÀí¼°ÍøÂçÀíÂÛ£¨ÄÚ²¿¿Î¼þ£©
ÒѾÓÐ144È˻ظ´
×¢²á»¯¹¤¹¤³ÌʦÐëÖª
ÒѾÓÐ23È˻ظ´
¡¾×ªÌû¡¿Á÷ÌåÁ¦Ñ§µÄ·Ïßͼ£¨×ª×ÔÁ÷ÌåÖÐÎÄÍøÖÜ»ªµÄ²©¿Í£©
ÒѾÓÐ60È˻ظ´
¡¾·ÖÏí¡¿2009Äê×¢²á»·±£¹¤³Ìʦ»ù´¡¿¼ÊÔ´ó¸Ù
ÒѾÓÐ11È˻ظ´
weft
ľ³æ (ÕýʽдÊÖ)
- Ó¦Öú: 125 (¸ßÖÐÉú)
- ½ð±Ò: 2557.3
- ºì»¨: 13
- Ìû×Ó: 301
- ÔÚÏß: 147.4Сʱ
- ³æºÅ: 2161851
- ×¢²á: 2012-12-02
- רҵ: ÎÄ»¯Ñ§
2Â¥2016-09-25 21:25:14
weft
ľ³æ (ÕýʽдÊÖ)
- Ó¦Öú: 125 (¸ßÖÐÉú)
- ½ð±Ò: 2557.3
- ºì»¨: 13
- Ìû×Ó: 301
- ÔÚÏß: 147.4Сʱ
- ³æºÅ: 2161851
- ×¢²á: 2012-12-02
- רҵ: ÎÄ»¯Ñ§
¡¾´ð°¸¡¿Ó¦Öú»ØÌû
| Çóµ¼ÀïÃæ·Ö×ÓÉϵÄwµÄÃÝ´ÎÊÇi»¹ÊÇj? Ò²¿´²»Çå, ÕâÍæÒâ°´ÕÕ¶¨Òå×ö¾ÍÐÐÁË, ²»ÄÑѽ. |
» ±¾ÌûÒÑ»ñµÃµÄºì»¨£¨×îÐÂ10¶ä£©
3Â¥2016-09-25 21:27:50
UANENG2008
гæ (СÓÐÃûÆø)
- Ó¦Öú: 0 (Ó×¶ùÔ°)
- ½ð±Ò: 1134.4
- É¢½ð: 2
- ºì»¨: 2
- Ìû×Ó: 292
- ÔÚÏß: 44.5Сʱ
- ³æºÅ: 2682133
- ×¢²á: 2013-09-26
- רҵ: ÌìÌåÁ¦Ñ§ºÍÈËÔìÎÀÐǶ¯Á¦Ñ§
4Â¥2016-09-26 09:25:46
wanglyang
гæ (³õÈëÎÄ̳)
- Ó¦Öú: 0 (Ó×¶ùÔ°)
- ½ð±Ò: 243.4
- Ìû×Ó: 49
- ÔÚÏß: 6.4Сʱ
- ³æºÅ: 4963381
- ×¢²á: 2016-08-31
- ÐÔ±ð: MM
- רҵ: ÎïÀíѧII
5Â¥2016-09-26 09:55:17
weft
ľ³æ (ÕýʽдÊÖ)
- Ó¦Öú: 125 (¸ßÖÐÉú)
- ½ð±Ò: 2557.3
- ºì»¨: 13
- Ìû×Ó: 301
- ÔÚÏß: 147.4Сʱ
- ³æºÅ: 2161851
- ×¢²á: 2012-12-02
- רҵ: ÎÄ»¯Ñ§
6Â¥2016-09-26 19:21:03
UANENG2008
гæ (СÓÐÃûÆø)
- Ó¦Öú: 0 (Ó×¶ùÔ°)
- ½ð±Ò: 1134.4
- É¢½ð: 2
- ºì»¨: 2
- Ìû×Ó: 292
- ÔÚÏß: 44.5Сʱ
- ³æºÅ: 2682133
- ×¢²á: 2013-09-26
- רҵ: ÌìÌåÁ¦Ñ§ºÍÈËÔìÎÀÐǶ¯Á¦Ñ§
7Â¥2016-09-26 23:53:08
UANENG2008
гæ (СÓÐÃûÆø)
- Ó¦Öú: 0 (Ó×¶ùÔ°)
- ½ð±Ò: 1134.4
- É¢½ð: 2
- ºì»¨: 2
- Ìû×Ó: 292
- ÔÚÏß: 44.5Сʱ
- ³æºÅ: 2682133
- ×¢²á: 2013-09-26
- רҵ: ÌìÌåÁ¦Ñ§ºÍÈËÔìÎÀÐǶ¯Á¦Ñ§
8Â¥2016-09-26 23:54:06
weft
ľ³æ (ÕýʽдÊÖ)
- Ó¦Öú: 125 (¸ßÖÐÉú)
- ½ð±Ò: 2557.3
- ºì»¨: 13
- Ìû×Ó: 301
- ÔÚÏß: 147.4Сʱ
- ³æºÅ: 2161851
- ×¢²á: 2012-12-02
- רҵ: ÎÄ»¯Ñ§
9Â¥2016-10-02 03:26:27













»Ø¸´´ËÂ¥
UANENG2008
10