24小时热门版块排行榜    

北京石油化工学院2026年研究生招生接收调剂公告
查看: 624  |  回复: 4

luckygirlgjr

银虫 (小有名气)

[求助] 求解答过程 已有1人参与

回复此楼
已阅   回复此楼   关注TA 给TA发消息 送TA红花 TA的回帖

谷中明

至尊木虫 (著名写手)

【答案】应助回帖

感谢参与,应助指数 +1
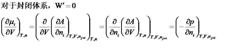
推导过程见附图。
求解答过程-1
化学势1.jpg

2楼2016-09-23 16:18:02
已阅   回复此楼   关注TA 给TA发消息 送TA红花 TA的回帖

luckygirlgjr

银虫 (小有名气)

引用回帖:
2楼: Originally posted by 谷中明 at 2016-09-23 16:18:02
推导过程见附图。

化学势1.jpg

为什么这里面带的是A,而不是吉布斯自由能函数呢?我知道化学势的表示方法有4种,书上说不注明的情况下按G算。

发自小木虫Android客户端
3楼2016-09-23 17:14:09
已阅   回复此楼   关注TA 给TA发消息 送TA红花 TA的回帖

谷中明

至尊木虫 (著名写手)

引用回帖:
3楼: Originally posted by luckygirlgjr at 2016-09-23 17:14:09
为什么这里面带的是A,而不是吉布斯自由能函数呢?我知道化学势的表示方法有4种,书上说不注明的情况下按G算。
...

下角标,条件是T,V
4楼2016-09-23 17:21:58
已阅   回复此楼   关注TA 给TA发消息 送TA红花 TA的回帖

luckygirlgjr

银虫 (小有名气)

引用回帖:
4楼: Originally posted by 谷中明 at 2016-09-23 17:21:58
下角标,条件是T,V...

明白啦,非常感谢你的回答。谢谢(*°?°)=3

发自小木虫Android客户端
5楼2016-09-23 18:24:35
已阅   回复此楼   关注TA 给TA发消息 送TA红花 TA的回帖
相关版块跳转 我要订阅楼主 luckygirlgjr 的主题更新
最具人气热帖推荐 [查看全部] 作者 回/看 最后发表
[考研] 285求调剂 +8 哦呦呼o 2026-04-04 8/400 2026-04-04 23:16 by lqwchd
[考研] 材料调剂 +11 一样YWY 2026-04-02 13/650 2026-04-04 23:10 by 无际的草原
[考研] 材料与化工306分找调剂 +11 沧海轻舟e 2026-04-03 12/600 2026-04-04 22:33 by hemengdong
[考研] 0855求调剂材料 +4 红桃灼灼 2026-04-04 4/200 2026-04-04 22:08 by lbsjt
[考研] 一志愿上海大学生物学346 +3 上海大学346调剂 2026-04-03 3/150 2026-04-04 20:20 by dongzh2009
[考研] 材料专硕(0856) 339分求调剂 +5 哈哈哈鹅哈哈哈 2026-04-04 5/250 2026-04-04 16:31 by dongzh2009
[考研] 一志愿南昌大学324求调剂 +9 hanamiko 2026-03-30 9/450 2026-04-04 11:04 by 猪会飞
[考研] 求调剂,一志愿郑州大学材料与化工专硕,英二数二342分,求老师收留 +17 v12abo 2026-04-02 19/950 2026-04-04 09:16 by 来看流星雨10
[考研] 265求调剂 +17 林深温澜 2026-04-01 20/1000 2026-04-04 01:09 by userper
[考研] 求调剂 +4 压力??大 2026-04-03 4/200 2026-04-03 21:36 by 啵啵啵0119
[考研] 求调剂机会 +5 意染ivy 2026-04-03 5/250 2026-04-03 15:13 by qoooooo614
[考研] 抱歉 +5 田洪有 2026-03-30 5/250 2026-04-03 10:24 by linyelide
[考研] 求调剂22408 288分 +5 new382 2026-04-02 5/250 2026-04-03 09:13 by 醉在风里
[考研] 调剂 +3 osbbx 2026-04-02 3/150 2026-04-03 07:47 by cc8418
[考研] 266求调剂 +4 学员97LZgn 2026-04-02 4/200 2026-04-02 09:52 by yulian1987
[考研] 求调剂,一志愿南京师范大学计算机专硕,初试373,六级通过, +3 计算机追梦人 2026-04-01 3/150 2026-04-02 07:57 by fxue1114
[考研] 085600 一志愿9 总分351 求调剂学校 +7 czhcz 2026-03-31 9/450 2026-04-01 19:24 by 无际的草原
[考研] 生物与医药考研调剂 +5 铁憨憨123425 2026-03-31 5/250 2026-04-01 18:01 by syh9288
[考研] 323分 食品与营养调剂 +3 嘿ooo 2026-03-31 3/150 2026-03-31 09:38 by longlotian
[考研] 一志愿大连理工大学材料求调剂 +6 Gymno 2026-03-30 6/300 2026-03-31 07:26 by 无际的草原
信息提示
请填处理意见