| 查看: 2317 | 回复: 2 | ||
dafeiguo银虫 (正式写手)
|
[求助]
关于克劳修斯-克拉贝龙方程 已有1人参与
|
|
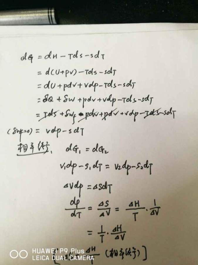
想计算Al3Ti在外部压强增大后其熔点的变化,根据克劳修斯-克拉贝龙方程来计算,公式里的体积的变化△V是什么意思啊?收缩率还是具体的体积变化?无法查找到相关物性参数(Al3Ti的凝固体积收缩率和凝固潜热),求大虾指导~ 克劳修斯方程.jpg |
» 猜你喜欢
武汉纺织大学-材料科学与工程学院-姜伟杰青团队-招生物方向调剂
已经有0人回复
武汉纺织大学-材料科学与工程学院-招 生物方向 硕士!
已经有0人回复
有机高分子材料论文润色/翻译怎么收费?
已经有269人回复
武汉纺织大学-材料科学与工程学院-姜伟杰青团队-招生物方向调剂
已经有0人回复
[武汉纺织大学]材料学院[姜伟团队名称]课题组-2026年硕士研究生调剂信息
已经有0人回复
武汉纺织大学-材料科学与工程学院-姜伟杰青团队-招调剂
已经有0人回复
生物医学材料前沿科普:低密度、高孔隙率的“多孔微球”核心技术与应用全景
已经有1人回复
湖南工业大学周贵寅组招生物医学工程(学硕07、08都行)、生物与医药(专硕08)硕士生
已经有0人回复
湖南工业大学周贵寅组招生物医学工程(学硕07、08都行)和生物与医药(专硕08)硕士生
已经有0人回复
考研求调剂
已经有0人回复
2026年中南民族大学化学与材料科学学院调剂公告
已经有23人回复

2楼2016-09-22 12:10:03
dafeiguo
银虫 (正式写手)
- 应助: 0 (幼儿园)
- 金币: 1972.3
- 散金: 50
- 红花: 2
- 帖子: 625
- 在线: 146.7小时
- 虫号: 3581445
- 注册: 2014-12-07
- 性别: GG
- 专业: 数学

3楼2016-09-22 15:57:12














回复此楼