| 查看: 2784 | 回复: 14 | |||
[交流]
声学支虚频意义
|
|||
|
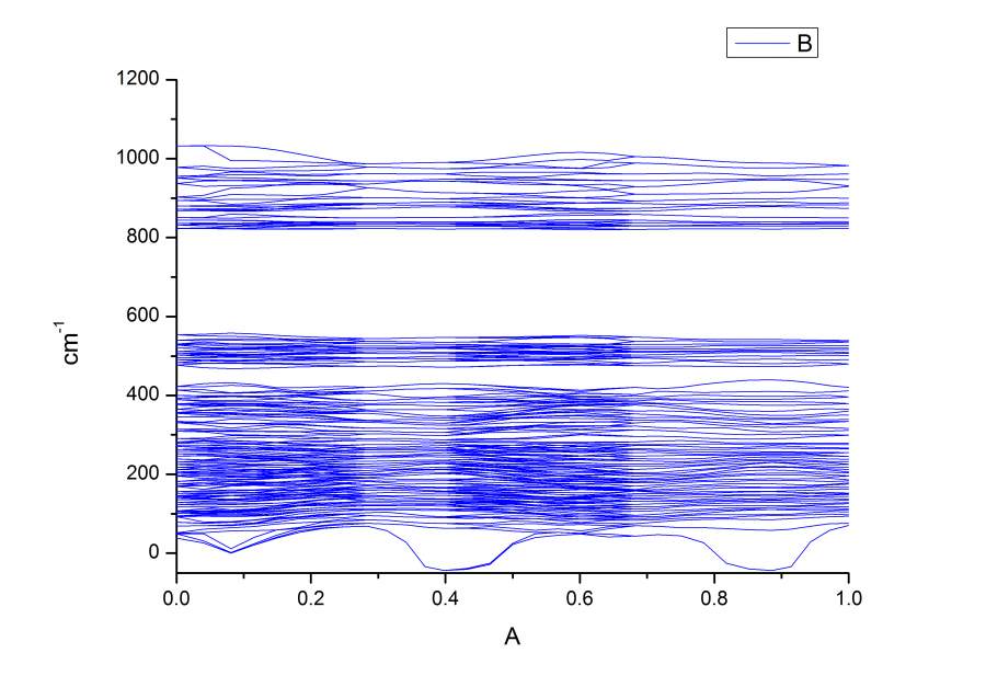
空间群为P21/c的结构,声子谱计算有虚频,尝试了多种方法都没有消除。 有虚频的高对称点为A,E 判断是声学支虚频 用的castep,赝势norm-conserving 之前看到有人说声学支虚频也是有物理意义的,如果不消除虚频,有没有理论可以解释这种声学支虚频的存在意义? phonon-p21c.jpg |
» 本帖附件资源列表
-
欢迎监督和反馈:小木虫仅提供交流平台,不对该内容负责。
本内容由用户自主发布,如果其内容涉及到知识产权问题,其责任在于用户本人,如对版权有异议,请联系邮箱:xiaomuchong@tal.com - 附件 1 : phonon-p21c.jpg
2016-09-21 15:24:25, 2.66 M
» 猜你喜欢
有时候真觉得大城市人没有县城人甚至个体户幸福
已经有9人回复
CSC & MSCA 博洛尼亚大学能源材料课题组博士/博士后招生|MSCA经费充足、排名优
已经有6人回复
天津大学招2026.09的博士生,欢迎大家推荐交流(博导是本人)
已经有4人回复
同年申请2项不同项目,第1个项目里不写第2个项目的信息,可以吗
已经有3人回复
退学或坚持读
已经有28人回复
面上项目申报
已经有3人回复
酰胺脱乙酰基
已经有9人回复
博士延得我,科研能力直往上蹿
已经有7人回复
面上基金申报没有其他的参与者成吗
已经有5人回复
遇见不省心的家人很难过
已经有22人回复
» 抢金币啦!回帖就可以得到:
湖南大学材料院陶益杰老师招收2026年秋季入学博士生一名及联合培养硕士学生一名
+1/187
西南科技大学曹克课题组招收2026级申请考核制有机化学博士研究生
+1/180
广州大学“长江学者”教授团队2026年海内外高层次人才招聘(环境/化学/生物)
+1/84
坐标浙江宁波,诚征女友
+1/63
香港科技大学计算物理及流体力学课题组招收全奖博士后及博士生(2026年9月入学)
+1/40
山东科技大学招聘化学化工博士博士后
+1/25
新加坡 南洋理工大学- 智能光子/ 传感 PHD 全奖一名 2026 - 8 月入学
+1/19
新加坡 南洋理工大学- 智能光子/ 传感 PHD 全奖一名 2026 - 8 月入学
+1/14
北京工业大学化生学院青年教师或“青年优秀人才”招聘启事
+1/11
中科院深圳先进院-免疫治疗方向-招收1名博士生(26年9月入学)
+1/10
招收中国CSC或学校资助联培博士生/访问学生-- Tsinghua-A*STAR 2025 Joint Funding
+1/10
国家“双一流”建设高校-南京林业大学-国家级青年人才团队招聘 2026级博士研究生
+1/5
美国密苏里大学“柔性电子”课题组诚招博士研究生
+1/5
广东省智能院与澳门大学/澳门理工联培博士招生
+1/4
河南省科学院招聘博士、硕士(工作地点:郑州)
+1/4
海南大学化学院—功能分子器件团队2026博士/研究助理招生+博士后招聘
+1/3
北京理工大学(珠海校区)何治宇课题组招收硕士推免生/招聘科研助理2名
+1/3
江汉大学轩亮教授课题组招博士研究生/博士后
+1/2
双一流联合团队招聘团队青年人才与博后
+1/1
中国科学院深圳先进技术研究院——招聘博士后
+3/1
8楼2016-09-21 16:03:39
★ ★ ★
qdbxj(金币+1): 谢谢参与
蛋蛋小童鞋: 金币+2, 谢谢参与,小木虫鼓励积极回答问题者 2016-09-21 16:37:15
qdbxj(金币+1): 谢谢参与
蛋蛋小童鞋: 金币+2, 谢谢参与,小木虫鼓励积极回答问题者 2016-09-21 16:37:15
|
G点没有虚频,而且不算严重,可以考虑提高收敛精度试试能不能消除。是不是声学支虚频可以直接在MS中查看啊,看振动分析 发自小木虫Android客户端 |
12楼2016-09-21 16:35:12
13楼2016-09-21 22:06:43
14楼2016-09-22 07:53:03
|
现在是这样,还有一个C格子的cif,都是我做单晶解出来的。 P21/c和C2/c,就差一个二次消光轴,如果是混合物粉末衍射几乎不可能区分。 单晶解出来这两种结构,就想做声子谱看看结构稳定性。 之前文献遇到过实验测的标准熵Cp曲线在125~128K之间有个鼓包,所以推测会不会有相变。 通常认为稳定存在的是这个P格子(常压条件下分解温度在2000K以上,or 室温加压到20GPa也是稳定的),结果算出来的声子谱有虚频 之前没人发现过的C格子,算出来声子谱是ok的。 两个结构make P1优化后0温0压再find symmetry都保持原有的对称性,优化后的结构能量差距不到1个meV。 所以声子谱一个有声学支虚频,一个没有虚频,我想找找有没有什么合理解释的文章。 |
15楼2016-09-22 07:58:59
简单回复
dsctg2楼
2016-09-21 15:45
回复
qdbxj(金币+1): 谢谢参与
hydzp3楼
2016-09-21 15:52
回复
qdbxj(金币+1): 谢谢参与
a
laom20134楼
2016-09-21 15:53
回复
qdbxj(金币+1): 谢谢参与
纳米材料7535楼
2016-09-21 15:56
回复
qdbxj(金币+1): 谢谢参与
石头阿呆6楼
2016-09-21 15:56
回复
qdbxj(金币+1): 谢谢参与
..
fdzjm7楼
2016-09-21 15:58
回复
qdbxj(金币+1): 谢谢参与
祝福 发自小木虫IOS客户端
2016-09-21 16:09
回复
qdbxj(金币+1): 谢谢参与
天涯201210楼
2016-09-21 16:19
回复
qdbxj(金币+1): 谢谢参与
tzynew11楼
2016-09-21 16:34
回复
qdbxj(金币+1): 谢谢参与













回复此楼