| 查看: 1218 | 回复: 5 | ||
[求助]
塑性变形对铁磁材料磁化过程的影响物理模型
|
|
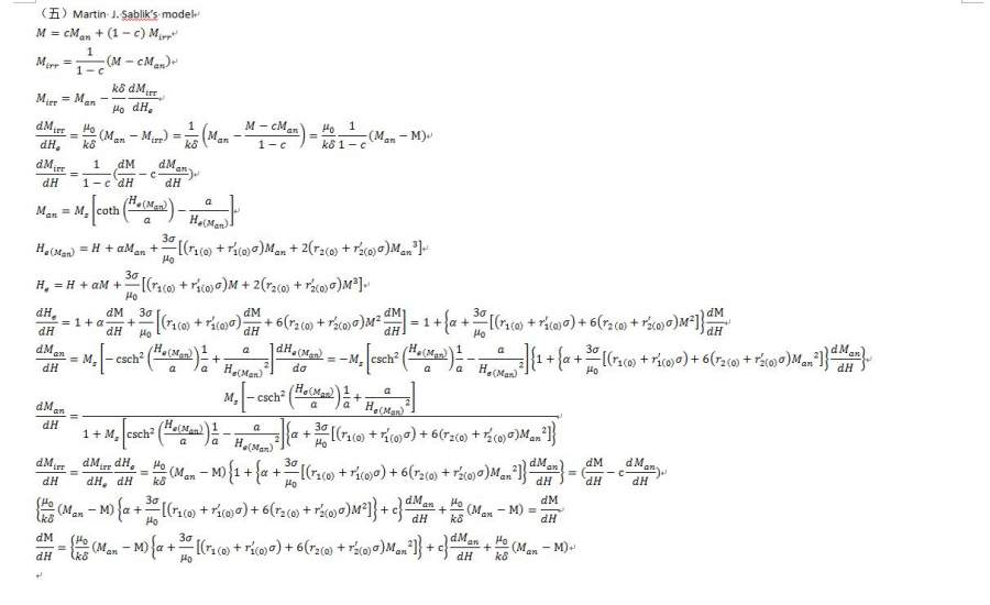
最近看关于塑性变形对铁磁材料的磁化过程的影响物理模型,但是根据相关论文中推导的公式都无法得到其论文中数值模拟得到的图形,磁场强度M计算结果图形趋势差不多,但是数值大小差了10^4,最终导致有效磁通密度B成直线,与文献中的结果相差太大,还请有也做相关研究或者数值模拟方面的大神们指导一下。 根据推导的公式自己计算结果.png B计算结果.jpg 论文原图.jpg 公式推导过程.jpg |
» 猜你喜欢
0703化学336分求调剂
已经有6人回复
304求调剂
已经有9人回复
293求调剂
已经有13人回复
281求调剂(0805)
已经有8人回复
环境领域全国重点实验室招收博士1-2名
已经有3人回复
材料专硕306英一数二
已经有10人回复
301求调剂
已经有6人回复
一志愿天津大学化学工艺专业(081702)315分求调剂
已经有7人回复
302求调剂
已经有6人回复
26博士申请
已经有3人回复
» 本主题相关商家推荐: (我也要在这里推广)
qiuqingzhen
新虫 (著名写手)
- 应助: 0 (幼儿园)
- 金币: 4769.2
- 红花: 19
- 帖子: 1395
- 在线: 300.2小时
- 虫号: 3504231
- 注册: 2014-10-28
- 专业: 金属材料的微观结构
|
楼主,什么材料?物理模型偏差太大,还是要根据自己实验,选择合适的模型,比如,不同材料,应力对磁化效果不一样。有的拉应力利于磁化,有的阻碍磁化。压应力也是。这个跟铁磁材料磁畴壁移动和磁畴转动关系很大。楼主最好测试材料磁畴结构以及磁滞回线。模型太不靠谱了。 发自小木虫Android客户端 |
2楼2016-09-20 16:53:13
qiuqingzhen
新虫 (著名写手)
- 应助: 0 (幼儿园)
- 金币: 4769.2
- 红花: 19
- 帖子: 1395
- 在线: 300.2小时
- 虫号: 3504231
- 注册: 2014-10-28
- 专业: 金属材料的微观结构
3楼2016-09-20 16:54:16
4楼2018-04-18 20:30:57
5楼2021-10-25 20:38:03
6楼2022-07-01 22:41:30













回复此楼