| ²é¿´: 954 | »Ø¸´: 6 | ||
Ëæ·ç¶øÊÅ...½ð³æ (СÓÐÃûÆø)
|
[ÇóÖú]
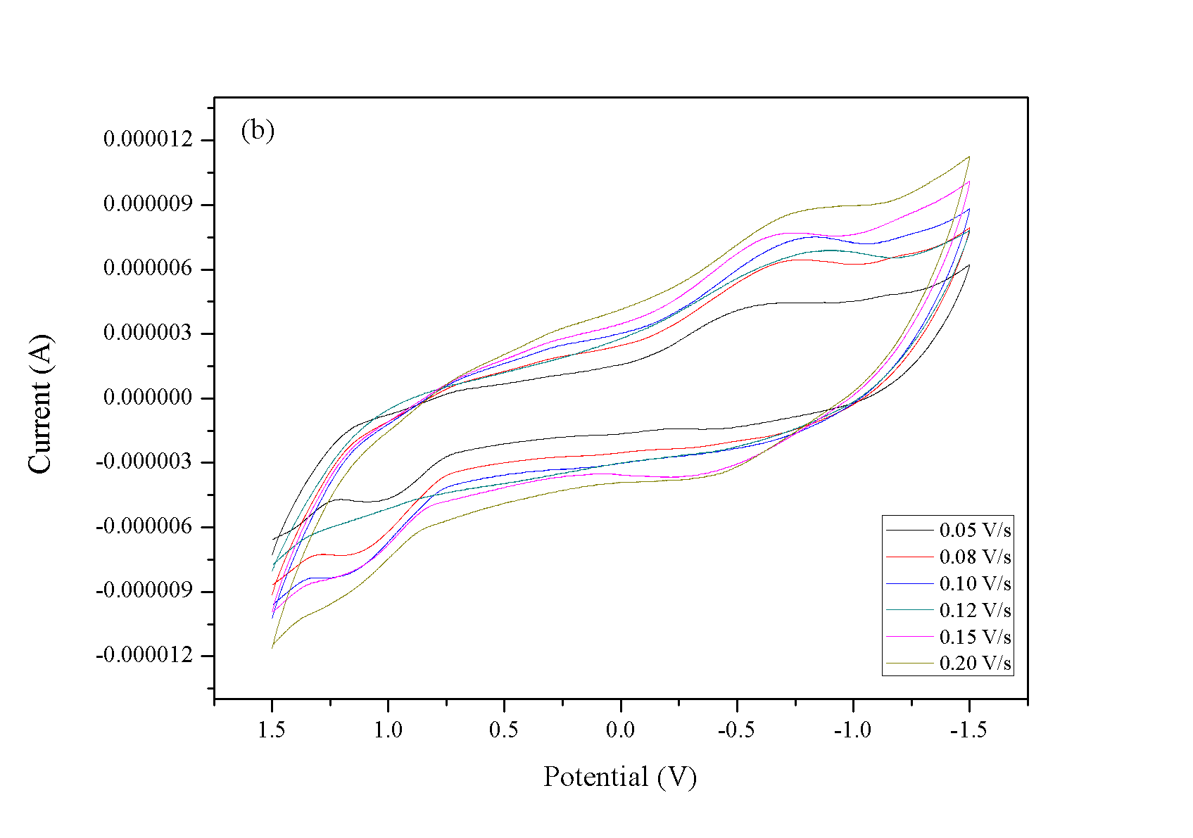
Çë´óÉñ°ïÎÒ·ÖÎöÏÂÎÒµÄCVͼ£¿ ÒÑÓÐ1È˲ÎÓë
|
|
µç»¯Ñ§Ð¡°×£¬¸Ú×öÁËÒ»×é²âÊÔ£¬ÍêÈ«¿´²»¶®ÎÒµÄͼ£¬Ò²²»ÖªµÀ¶Ô²»¶Ô£¬Çó´óÉñ°ïÎÒ·ÖÎöÏ Graph1.gif »¯ºÏÎï.png |
» ²ÂÄãϲ»¶
µÂ¹úKarlsruhe Institute of TechnologyÕÐÊյ绯ѧ´¢Äܼ°ÁªºÏÅàÑøCSC²©Ê¿µÈ
ÒѾÓÐ20È˻ظ´
µÂ¹úKarlsruhe Institute of TechnologyÕÐÊյ绯ѧ´¢Äܼ°ÁªºÏÅàÑøCSC²©Ê¿
ÒѾÓÐ24È˻ظ´
ÎïÀí»¯Ñ§ÂÛÎÄÈóÉ«/·ÒëÔõôÊÕ·Ñ?
ÒѾÓÐ161È˻ظ´
µÂ¹úKarlsruhe Institute of TechnologyÕÐÊյ绯ѧ´¢Äܼ°ÁªºÏÅàÑøCSC²©Ê¿
ÒѾÓÐ1È˻ظ´
¹Ì̬﮽ðÊôµç³ØÇ¨ÒÆÊý¼ÆËãÇóÖú
ÒѾÓÐ1È˻ظ´
ºÉÀ¼ÄÎ÷ºà´óѧÕÔÎIJ©ÓëGalimberti¿ÎÌâ×éÕÐÊÕÀíÂÛ¼ÆËãCSC²©Ê¿ 2000 Å·Ôª/ÔÂ+·¿²¹
ÒѾÓÐ0È˻ظ´
26´¢Äܲ©Ê¿ÉêÇë×Ô¼ö
ÒѾÓÐ22È˻ظ´
ÉϺ£½»Í¨´óѧ--Äþ²¨¶«·½Àí¹¤´óѧµç³Ø·½Ïò²©Ê¿ÕÐÉú
ÒѾÓÐ10È˻ظ´
º£ÄÏ´óѧȫ¹úÖØµãʵÑéÊÒÑî½ðÁØÀÏʦÕÐÊÕ´¢ÄÜµç³Ø·½Ïò²©Ê¿Éú£¨2026Äê3Ô±¨Ãû£¬9ÔÂÈëѧ£©
ÒѾÓÐ1È˻ظ´
º£ÄÏʦ·¶´óѧ2026Ä격ʿÑо¿ÉúÕÐÊÕ (ÔÚÖ°ÏëÌáÉýѧÀúÈËÔ±¿É±¨¿¼) ÉêÇ뿼ºËÖÆ+ÆÕͨÕп¼
ÒѾÓÐ0È˻ظ´
É격ÇóÖú
ÒѾÓÐ0È˻ظ´

lsh200100
Ìú¸Ëľ³æ (ÖøÃûдÊÖ)
ºì³¾À´È¥Ò»³¡ÃÎ
- ECEPI: 1
- Ó¦Öú: 159 (¸ßÖÐÉú)
- ½ð±Ò: 8499.9
- É¢½ð: 65
- ºì»¨: 89
- Ìû×Ó: 2068
- ÔÚÏß: 524.6Сʱ
- ³æºÅ: 539244
- ×¢²á: 2008-04-04
- ÐÔ±ð: GG
- רҵ: ÄÜÔ´»¯¹¤
2Â¥2016-09-19 03:20:13
Ëæ·ç¶øÊÅ...
½ð³æ (СÓÐÃûÆø)
- Ó¦Öú: 23 (СѧÉú)
- ½ð±Ò: 922.7
- É¢½ð: 18
- ºì»¨: 3
- Ìû×Ó: 262
- ÔÚÏß: 94Сʱ
- ³æºÅ: 2985924
- ×¢²á: 2014-02-19
- ÐÔ±ð: GG
- רҵ: ÎÞ»ú·Ç½ðÊô»ù¸´ºÏ²ÄÁÏ

3Â¥2016-09-19 08:41:36
Ëæ·ç¶øÊÅ...
½ð³æ (СÓÐÃûÆø)
- Ó¦Öú: 23 (СѧÉú)
- ½ð±Ò: 922.7
- É¢½ð: 18
- ºì»¨: 3
- Ìû×Ó: 262
- ÔÚÏß: 94Сʱ
- ³æºÅ: 2985924
- ×¢²á: 2014-02-19
- ÐÔ±ð: GG
- רҵ: ÎÞ»ú·Ç½ðÊô»ù¸´ºÏ²ÄÁÏ

4Â¥2016-09-19 09:24:49
²Ë¸ùÀÉ123
гæ (³õÈëÎÄ̳)
- Ó¦Öú: 2 (Ó×¶ùÔ°)
- ½ð±Ò: 856.6
- Ìû×Ó: 43
- ÔÚÏß: 29Сʱ
- ³æºÅ: 4168127
- ×¢²á: 2015-10-23
- רҵ: µç»¯Ñ§
5Â¥2016-09-19 10:29:13
6Â¥2016-09-20 00:31:13
corrtest
ľ³æ (ÖøÃûдÊÖ)
- Ó¦Öú: 486 (˶ʿ)
- ¹ó±ö: 0.006
- ½ð±Ò: 2623.6
- ºì»¨: 48
- Ìû×Ó: 1360
- ÔÚÏß: 776.8Сʱ
- ³æºÅ: 687386
- ×¢²á: 2009-01-04
- רҵ: µç»¯Ñ§
| +1.2V´¦µÄ·åΪˮµÄ·Ö½â¡£ÎïÖʱ¾ÉíµÄÑõ»¯·åÓ뻹Է嶼²»Ã÷ÏÔ¡£ÁíÍ⣬5¥˵µÄÉϰàÑõ»¯·åÏÂÃæ»¹Ô·å£¬²»×¼È·¡£ÄãµÄºá×ø±êÊÇ×óÕýÓÒ¸º£¬×Ý×ø±êÊÇÉÏÕýϸº£¬ÓëÒ»°ãµÄcvͼ²»Ò»Ñù¡£½¨Òéµ÷ÕûΪºá×ø±ê×ó¸ºÓÐÕý£¬×Ý×ø±êÉÏÕýϸº£»ÕâÑùµÄ»°£¬ÉÏÃæÊÇÑõ»¯·å£¬ÏÂÃæÊÇ»¹Ô·å¡£ |
7Â¥2016-09-20 17:38:21













»Ø¸´´ËÂ¥