| 查看: 330 | 回复: 0 | ||
[求助]
求助西罗莫司有没有与聚乳酸中羟基反应的可能?急急!
|
|
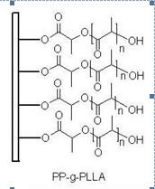
西罗莫司,大环内脂类免疫抑制剂,有没有与聚乳酸发生反应,并且该反应在活体内能否可逆,再还原出这个药物? 如果能 催化剂有哪些 图示需要反应的两个底物 siro.png EZNVNPY]0K7ZV](6Y344}4G.png |
» 猜你喜欢
085601 329分调剂
已经有3人回复
本2一志愿C9-333分,材料科学与工程,求调剂
已经有3人回复
一志愿大连理工大学材料求调剂
已经有5人回复
材料与化工调剂一志愿大连海事085600,349
已经有6人回复
一志愿中海洋320化学工程与技术学硕求调剂
已经有4人回复
材料科学与工程调剂
已经有11人回复
311求调剂一志愿合肥工业大学
已经有4人回复
一志愿食品科学与工程083200求调剂
已经有4人回复
材料科学与工程求调剂
已经有10人回复
一志愿北化085600材料专硕275|有文章专利|求调剂
已经有11人回复














回复此楼