| ²é¿´: 370 | »Ø¸´: 2 | ||
JOHO5574гæ (ÕýʽдÊÖ)
|
[ÇóÖú]
½âÌâ·½·¨µÄ±È½Ï ÒÑÓÐ1È˲ÎÓë
|
|
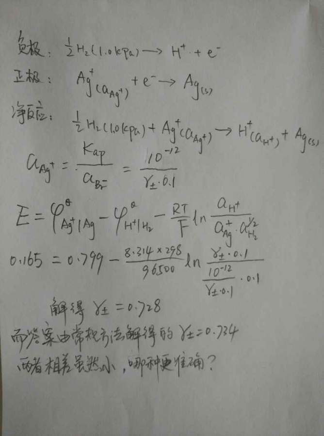
´Ó15ÌâµÄ½«µÚ¶þÀàµç¼«·´Ó¦Ð´³ÉµÚÒ»Ààµç¼«·´Ó¦µÄ½âÌâ¼¼ÇÉÔËÓõ½µÚ18ÌâµÚ3ÎÊÖУ¬ËãµÃµÄ½á¹ûÓÐЩ²îÒ죬ÊDz»ÊÇ˵ÕâÖÖ½âÌâ·½·¨ÊDz»×¼È·µÄ ·¢×ÔСľ³æAndroid¿Í»§¶Ë |
» ²ÂÄãϲ»¶
Î人·ÄÖ¯´óѧ-²ÄÁÏ¿ÆÑ§Ó빤³ÌѧԺ-½ªÎ°½ÜÇàÍŶÓ-ÕÐÉúÎï·½Ïòµ÷¼Á
ÒѾÓÐ0È˻ظ´
Î人·ÄÖ¯´óѧ-²ÄÁÏ¿ÆÑ§Ó빤³ÌѧԺ-ÕÐ ÉúÎï·½Ïò ˶ʿ£¡
ÒѾÓÐ0È˻ظ´
Óлú¸ß·Ö×Ó²ÄÁÏÂÛÎÄÈóÉ«/·ÒëÔõôÊÕ·Ñ?
ÒѾÓÐ175È˻ظ´
Î人·ÄÖ¯´óѧ-²ÄÁÏ¿ÆÑ§Ó빤³ÌѧԺ-½ªÎ°½ÜÇàÍŶÓ-ÕÐÉúÎï·½Ïòµ÷¼Á
ÒѾÓÐ0È˻ظ´
[Î人·ÄÖ¯´óѧ]²ÄÁÏѧԺ[½ªÎ°ÍŶÓÃû³Æ]¿ÎÌâ×é-2026Äê˶ʿÑо¿Éúµ÷¼ÁÐÅÏ¢
ÒѾÓÐ0È˻ظ´
Î人·ÄÖ¯´óѧ-²ÄÁÏ¿ÆÑ§Ó빤³ÌѧԺ-½ªÎ°½ÜÇàÍŶÓ-Õе÷¼Á
ÒѾÓÐ0È˻ظ´
ÉúÎïҽѧ²ÄÁÏÇ°ÑØ¿ÆÆÕ£ºµÍÃܶȡ¢¸ß¿×϶Âʵġ°¶à¿×΢Çò¡±ºËÐļ¼ÊõÓëÓ¦ÓÃÈ«¾°
ÒѾÓÐ1È˻ظ´
ºþÄϹ¤Òµ´óѧÖܹóÒú×éÕÐÉúÎïҽѧ¹¤³Ì£¨Ñ§Ë¶07¡¢08¶¼ÐУ©¡¢ÉúÎïÓëÒ½Ò©£¨×¨Ë¶08£©Ë¶Ê¿Éú
ÒѾÓÐ0È˻ظ´
ºþÄϹ¤Òµ´óѧÖܹóÒú×éÕÐÉúÎïҽѧ¹¤³Ì£¨Ñ§Ë¶07¡¢08¶¼ÐУ©ºÍÉúÎïÓëÒ½Ò©£¨×¨Ë¶08£©Ë¶Ê¿Éú
ÒѾÓÐ0È˻ظ´
¿¼ÑÐÇóµ÷¼Á
ÒѾÓÐ0È˻ظ´
2026ÄêÖÐÄÏÃñ×å´óѧ»¯Ñ§Óë²ÄÁÏ¿ÆÑ§Ñ§Ôºµ÷¼Á¹«¸æ
ÒѾÓÐ23È˻ظ´
JOHO5574
гæ (ÕýʽдÊÖ)
- Ó¦Öú: 17 (СѧÉú)
- ½ð±Ò: 1454.7
- É¢½ð: 205
- ºì»¨: 2
- Ìû×Ó: 714
- ÔÚÏß: 172.1Сʱ
- ³æºÅ: 4160320
- ×¢²á: 2015-10-20
- ÐÔ±ð: GG
- רҵ: ÓлúºÏ³É
2Â¥2016-09-18 09:52:33
¹ÈÖÐÃ÷
ÖÁ×ðľ³æ (ÖøÃûдÊÖ)
- ICEPI: 19
- Ó¦Öú: 1264 (½²Ê¦)
- ¹ó±ö: 0.482
- ½ð±Ò: 24134.7
- ºì»¨: 182
- Ìû×Ó: 2913
- ÔÚÏß: 1911.3Сʱ
- ³æºÅ: 1883403
- ×¢²á: 2012-07-08
- ÐÔ±ð: GG
- רҵ: ÈÈÁ¦Ñ§
¡¾´ð°¸¡¿Ó¦Öú»ØÌû
¡ï ¡ï ¡ï ¡ï ¡ï ¡ï ¡ï
¸Ðл²ÎÓ룬ӦÖúÖ¸Êý +1
±ùµã½µÎÂ: ½ð±Ò+2, ллר¼ÒÓ¦Öú½â´ð£¬ÐÁ¿àÁË¡£ 2016-09-18 16:23:19
JOHO5574(±ùµã½µÎ´ú·¢): ½ð±Ò+5 2016-09-18 16:23:24
¸Ðл²ÎÓ룬ӦÖúÖ¸Êý +1
±ùµã½µÎÂ: ½ð±Ò+2, ллר¼ÒÓ¦Öú½â´ð£¬ÐÁ¿àÁË¡£ 2016-09-18 16:23:19
JOHO5574(±ùµã½µÎ´ú·¢): ½ð±Ò+5 2016-09-18 16:23:24
|
´¦Àí¹ý³ÌûÎÊÌâ¡£Èôͨ¹ý¼¸²½´¦Àí¡£Îó²î»áÔö´ó¡£ÕâÊý¾ÝµÄ²îÒìÔÚÓÚ´¦Àí¹ý³ÌÊÇ·Ö²½»¹ÊÇÒ»²½Íê³É£¬ÁíÍ⻹Óз¨ÀµÚ³£ÊýµÄȡֵÎÊÌâ¶¼ÓÐÓ°Ïì¡£ |
3Â¥2016-09-18 15:59:45














»Ø¸´´ËÂ¥