| ²é¿´: 2666 | »Ø¸´: 13 | |||
СÑî°®ÍæÌú³æ (СÓÐÃûÆø)
|
[ÇóÖú]
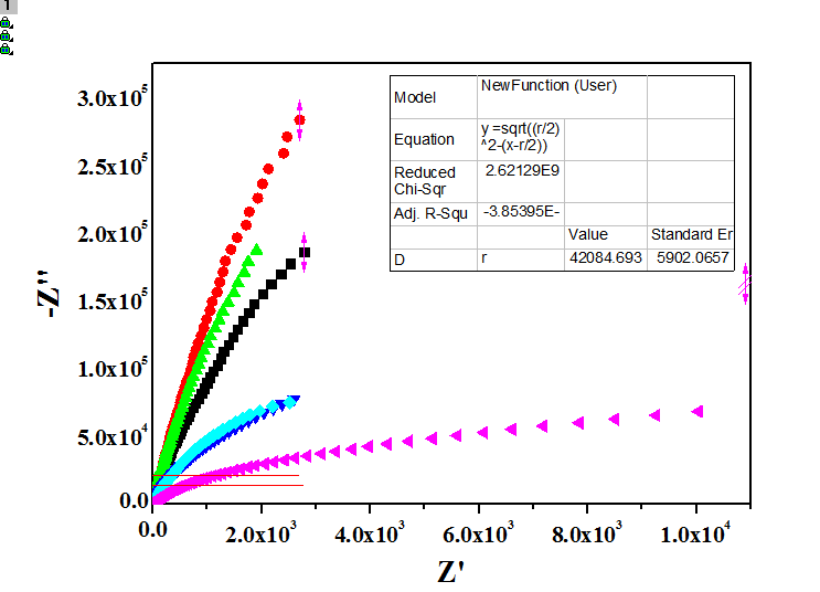
orignÄâºÏ×迹Æ×ΪɶÄâºÏ²»³ö°ëÔ²µÄÐÎʽ ÒÑÓÐ1È˲ÎÓë
|
ÓÃorignÄâºÏ×迹Æ×ÈçºÎÄâºÏ³ö°ëÔ²µÄÐÎʽ£¬°´Õս̳ÌÄâºÏ²»³öÀ´£¬ÈçͼÖеÄÄÇÖÖÇé¿ö£¬Çó´óÉñÖ¸µã![]() @~)EF{6)0AGS~KYXAOQKK79.png |
» ²ÂÄãϲ»¶
²ÄÁÏ¿ÆÑ§Ó빤³ÌÇóµ÷¼Á
ÒѾÓÐ13È˻ظ´
¿¼Ñе÷¼Á
ÒѾÓÐ3È˻ظ´
309Çóµ÷¼Á
ÒѾÓÐ17È˻ظ´
ʡ˫һÁ÷ÖØµãÒ»±¾´óѧÕÐÊÕµ÷¼Á
ÒѾÓÐ5È˻ظ´
¸´ÊÔµ÷¼Á
ÒѾÓÐ7È˻ظ´
267Çóµ÷¼Á
ÒѾÓÐ4È˻ظ´
359Çóµ÷¼Á
ÒѾÓÐ4È˻ظ´
Ò»Ö¾Ô¸±±¾©¿Æ¼¼´óѧ²ÄÁÏѧ˶328·ÖÇóµ÷¼Á
ÒѾÓÐ4È˻ظ´
08¹¤¿Æ275·ÖÇóµ÷¼Á
ÒѾÓÐ4È˻ظ´
309·Ö085801Çóµ÷¼Á
ÒѾÓÐ3È˻ظ´
СÑî°®Íæ
Ìú³æ (СÓÐÃûÆø)
- Ó¦Öú: 0 (Ó×¶ùÔ°)
- ½ð±Ò: 61.9
- ºì»¨: 1
- Ìû×Ó: 152
- ÔÚÏß: 62.8Сʱ
- ³æºÅ: 4170142
- ×¢²á: 2015-10-24
- רҵ: ¹ÌÌåÓë±íÃæÎïÀí»¯Ñ§
2Â¥2016-09-17 13:00:48
3Â¥2016-09-17 13:01:14
4Â¥2016-09-17 13:01:33
htc_uestc
ľ³æ (ÖøÃûдÊÖ)
- Ó¦Öú: 61 (³õÖÐÉú)
- ½ð±Ò: 4457.5
- É¢½ð: 381
- ºì»¨: 27
- Ìû×Ó: 2077
- ÔÚÏß: 505.4Сʱ
- ³æºÅ: 2104945
- ×¢²á: 2012-11-03
- ÐÔ±ð: GG
- רҵ: ¹¦ÄÜÌÕ´É
5Â¥2016-09-20 00:33:18
chinaworm
ר¼Ò¹ËÎÊ (ÖªÃû×÷¼Ò)
-

ר¼Ò¾Ñé: +731 - Ó¦Öú: 419 (˶ʿ)
- ¹ó±ö: 0.099
- ½ð±Ò: 7658.1
- É¢½ð: 2746
- ºì»¨: 122
- Ìû×Ó: 5201
- ÔÚÏß: 551.7Сʱ
- ³æºÅ: 259426
- ×¢²á: 2006-06-11
- ÐÔ±ð: GG
- רҵ: ÎÞ»ú·Ç½ðÊôÀà¹âµçÐÅÏ¢Ó빦
- ¹ÜϽ: ÎÞ»ú·Ç½ðÊô

6Â¥2016-09-20 06:06:12
wthawkwust
½ð³æ (ÕýʽдÊÖ)
- Ó¦Öú: 2 (Ó×¶ùÔ°)
- ½ð±Ò: 3143.6
- É¢½ð: 300
- ºì»¨: 1
- Ìû×Ó: 412
- ÔÚÏß: 121.8Сʱ
- ³æºÅ: 1668817
- ×¢²á: 2012-03-06
- ÐÔ±ð: GG
- רҵ: ÎÞ»ú·Ç½ðÊôÀà¹âµçÐÅÏ¢Ó빦

7Â¥2016-09-20 08:01:17
8Â¥2016-09-20 08:28:44
renxiaoyao90
½ð³æ (ÕýʽдÊÖ)
- Ó¦Öú: 20 (СѧÉú)
- ½ð±Ò: 3366.4
- ºì»¨: 2
- Ìû×Ó: 320
- ÔÚÏß: 68.1Сʱ
- ³æºÅ: 2076484
- ×¢²á: 2012-10-21
- ÐÔ±ð: GG
- רҵ: ÎÞ»ú·Ç½ðÊô²ÄÁÏ

9Â¥2016-09-20 11:39:15
renxiaoyao90
½ð³æ (ÕýʽдÊÖ)
- Ó¦Öú: 20 (СѧÉú)
- ½ð±Ò: 3366.4
- ºì»¨: 2
- Ìû×Ó: 320
- ÔÚÏß: 68.1Сʱ
- ³æºÅ: 2076484
- ×¢²á: 2012-10-21
- ÐÔ±ð: GG
- רҵ: ÎÞ»ú·Ç½ðÊô²ÄÁÏ

10Â¥2016-09-20 11:40:47















»Ø¸´´ËÂ¥
