| 查看: 804 | 回复: 1 | ||
wgdd木虫 (正式写手)
|
[求助]
求助一个波动方程坐标变换的问题!十分感谢!已有1人参与
|
|
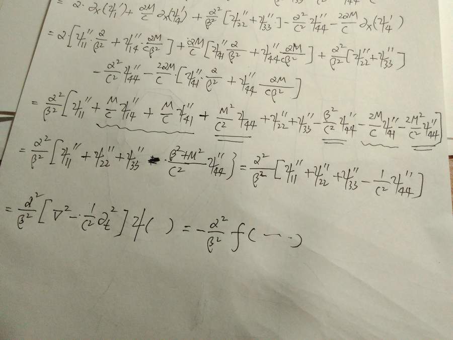
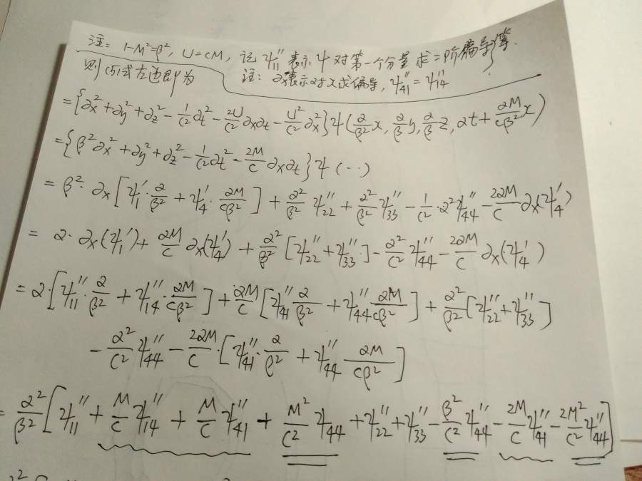
想请教各位数学专家一个波动方程坐标变换的问题,是我在阅读论文的时候看到的。想了很久还是没变换出来。。。十分感谢您的帮助! 想知道图片中的公式5是怎么由公式2变换来的呢? figure1.png figure2.png |
» 猜你喜欢
请问有评职称,把科研教学业绩算分排序的高校吗
已经有3人回复
孩子确诊有中度注意力缺陷
已经有12人回复
2025冷门绝学什么时候出结果
已经有3人回复
天津工业大学郑柳春团队欢迎化学化工、高分子化学或有机合成方向的博士生和硕士生加入
已经有4人回复
康复大学泰山学者周祺惠团队招收博士研究生
已经有6人回复
AI论文写作工具:是科研加速器还是学术作弊器?
已经有3人回复
2026博士申请-功能高分子,水凝胶方向
已经有6人回复
论文投稿,期刊推荐
已经有4人回复
硕士和导师闹得不愉快
已经有13人回复
请问2026国家基金面上项目会启动申2停1吗
已经有5人回复
vect
至尊木虫 (著名写手)
- 应助: 171 (高中生)
- 金币: 18942.5
- 散金: 31
- 红花: 19
- 帖子: 2033
- 在线: 938.3小时
- 虫号: 545022
- 注册: 2008-04-13
- 性别: GG
- 专业: 数学
2楼2016-09-15 23:40:09














回复此楼
注意链式法则,以及简明记号以降低难度