| 查看: 644 | 回复: 0 | |||
[求助]
关于杨氏模量计算
|
|
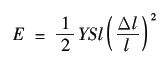
大家好,请问附件的纳米管杨氏模量计算公式中能量E指的是什么能量? 单个原子的?单个晶包的? 例如对于碳纳米管:(6 0)中包含24个原子,能量用总能量计算,还是 总能量除以24? 谢谢大家!!!! 未命名.jpg |
» 收录本帖的淘帖专辑推荐
第一性原理计算-tg |
» 猜你喜欢
职称评审没过,求安慰
已经有49人回复
26申博自荐
已经有3人回复
A期刊撤稿
已经有4人回复
垃圾破二本职称评审标准
已经有17人回复
投稿Elsevier的Neoplasia杂志,到最后选publishing options时页面空白,不能完成投稿
已经有22人回复
EST投稿状态问题
已经有7人回复
毕业后当辅导员了,天天各种学生超烦
已经有4人回复
三无产品还有机会吗
已经有6人回复













回复此楼
