| ²é¿´: 278 | »Ø¸´: 0 | ||
yeqingfeng16Òø³æ (СÓÐÃûÆø)
|
[ÇóÖú]
¹ØÓÚÆ«Î¢·Ö·½³Ì
|
|
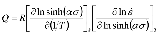
Èçͼ£¬¶ÔÆäÖÐÒ»¸öʽ×ÓÇóƫ΢·ÖµÃ³öÁíÒ»¸ö£¬ÇëÎÊÕâÊÇÔõôÇó³öÀ´µÄ£¬¸ãÌ«²»Çå³þ×Ô±äÁ¿Òò±äÁ¿ ScreenShot_20160914095346.png ScreenShot_20160914095313.png |
» ²ÂÄãϲ»¶
270Çóµ÷¼Á
ÒѾÓÐ8È˻ظ´
211±¾¿Æ²ÄÁÏ»¯¹¤Çóµ÷¼Á
ÒѾÓÐ6È˻ظ´
Çóµ÷¼Á
ÒѾÓÐ10È˻ظ´
Çóµ÷¼Á
ÒѾÓÐ11È˻ظ´
272·Ö²ÄÁÏ×ÓÇóµ÷¼Á
ÒѾÓÐ43È˻ظ´
271Çóµ÷¼Á
ÒѾÓÐ13È˻ظ´
283Çóµ÷¼Á 086004¿¼Ó¢¶þÊý¶þ
ÒѾÓÐ16È˻ظ´
085410 273·Öµ÷¼Á
ÒѾÓÐ4È˻ظ´
Ò»Ö¾Ô¸Ïôó0856£¬306Çóµ÷¼Á
ÒѾÓÐ3È˻ظ´
304Çóµ÷¼Á£¨085602£¬¹ýËļ¶£¬Ò»Ö¾Ô¸985£©
ÒѾÓÐ28È˻ظ´














»Ø¸´´ËÂ¥