| 查看: 4321 | 回复: 5 | |||
[求助]
什么叫做偶极近似 已有1人参与
|
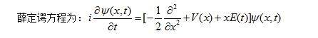
| 在量子力学的含时薛定谔方程中,由偶极近似可以写出TDSE,什么叫做偶极近似,最好说的详细一点或者有出处 |
» 猜你喜欢
一志愿 西北大学 ,070300化学学硕,总分287,双非一本,求调剂。
已经有5人回复
0856求调剂
已经有9人回复
一志愿 南京邮电大学 288分 材料考研 求调剂
已经有3人回复
材料与化工304求B区调剂
已经有5人回复
一志愿北京化工大学材料与化工(085600)296求调剂
已经有5人回复
275求调剂
已经有7人回复
274求调剂
已经有19人回复
总分293求调剂
已经有8人回复
北科281学硕材料求调剂
已经有17人回复
寻找调剂
已经有8人回复

2楼2016-09-13 21:33:25
3楼2016-09-14 08:12:39
ra2ghgzh
木虫 (正式写手)
学痴
- 物理EPI: 1
- 应助: 113 (高中生)
- 金币: 2136.9
- 散金: 5
- 红花: 33
- 帖子: 773
- 在线: 444.6小时
- 虫号: 3739328
- 注册: 2015-03-15
- 性别: GG
- 专业: 原子和分子物理

4楼2016-09-14 09:40:18
--八云--
专家顾问 (知名作家)
博览众家之长,终集百家之短
-

专家经验: +143 - 物理EPI: 1
- 应助: 216 (大学生)
- 金币: 4097.5
- 散金: 1408
- 红花: 70
- 帖子: 9216
- 在线: 1033.8小时
- 虫号: 1368331
- 注册: 2011-08-14
- 性别: GG
- 专业: 凝聚态物性 II :电子结构
- 管辖: 物理

5楼2016-09-14 14:59:47
michael1988
铜虫 (小有名气)
- 应助: 0 (幼儿园)
- 金币: 2682.2
- 红花: 5
- 帖子: 114
- 在线: 60.6小时
- 虫号: 2191971
- 注册: 2012-12-17
- 性别: GG
- 专业: 光学
6楼2016-09-15 08:03:18













回复此楼