| ²é¿´: 601 | »Ø¸´: 3 | ||
δÑë--гæ (СÓÐÃûÆø)
|
[ÇóÖú]
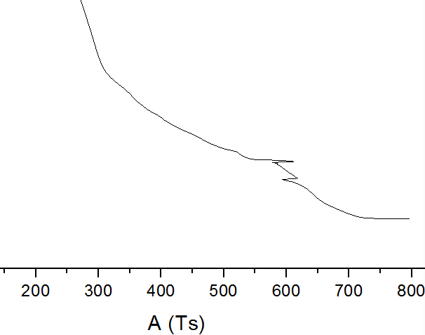
ÈÈÖØÇóÖú£¬ÇóÎÊΪʲôÈÈÖØ³öÏÖÕÛÏßÄØ ÒÑÓÐ1È˲ÎÓë
|
|
ÈçÌ⣺³öÏÖÔÒòÊÇ£¬Î¶ÈÏȾçÁÒÉÏÉý£¬È»ºóÓÖϽµ£¬´ïµ½Ò»¶¨Î¶ȺóÓÖÃ÷ÏÔϽµÈ»ºóÖèÉý£¬ËùÒÔ³öÏÖÁËZ×ÖÐΡ£ÎªÊ²Ã´»áÕâÑùÄØ£¿Çó¸÷λ¶®ÐеIJ»Áߴͽ̣¡£¡ TGͼ.png |
» ²ÂÄãϲ»¶
086502»¯Ñ§¹¤³Ì342Çóµ÷¼Á
ÒѾÓÐ5È˻ظ´
²ÄÁÏÇóµ÷¼Á Ò»Ö¾Ô¸¹þ¹¤´ó×Ü·Ö298·Ö£¬Ç°Èý¿Æ223·Ö
ÒѾÓÐ5È˻ظ´
085600 286·Ö ²ÄÁÏÇóµ÷¼Á
ÒѾÓÐ6È˻ظ´
²ÄÁÏÇóµ÷¼ÁÒ»Ö¾Ô¸¹þ¹¤´ó324
ÒѾÓÐ7È˻ظ´
328Çóµ÷¼Á
ÒѾÓÐ7È˻ظ´
340Çóµ÷¼Á
ÒѾÓÐ5È˻ظ´
Ò»Ö¾Ô¸Äϲý´óѧ324Çóµ÷¼Á
ÒѾÓÐ4È˻ظ´
Çóµ÷¼ÁÍÆ¼ö ²ÄÁÏ 304
ÒѾÓÐ15È˻ظ´
291Çóµ÷¼Á
ÒѾÓÐ19È˻ظ´
331»·¾³¿ÆÑ§Ó빤³ÌÇóµ÷¼Á
ÒѾÓÐ3È˻ظ´
륉--
гæ (СÓÐÃûÆø)
- Ó¦Öú: 0 (Ó×¶ùÔ°)
- ½ð±Ò: 140.8
- Ìû×Ó: 130
- ÔÚÏß: 109.4Сʱ
- ³æºÅ: 2475307
- ×¢²á: 2013-05-21
- ÐÔ±ð: MM
- רҵ: »¯Ñ§·´Ó¦¹¤³Ì
2Â¥2016-09-13 15:06:17
륉--
гæ (СÓÐÃûÆø)
- Ó¦Öú: 0 (Ó×¶ùÔ°)
- ½ð±Ò: 140.8
- Ìû×Ó: 130
- ÔÚÏß: 109.4Сʱ
- ³æºÅ: 2475307
- ×¢²á: 2013-05-21
- ÐÔ±ð: MM
- רҵ: »¯Ñ§·´Ó¦¹¤³Ì
3Â¥2016-09-14 12:28:24
willard
ÖÁ×ðľ³æ (ÖøÃûдÊÖ)
- Ó¦Öú: 27 (СѧÉú)
- ½ð±Ò: 13054.2
- ºì»¨: 8
- Ìû×Ó: 2532
- ÔÚÏß: 308.2Сʱ
- ³æºÅ: 64981
- ×¢²á: 2005-04-23
- רҵ: ÉúÎïÎïÀí»¯Ñ§
¡¾´ð°¸¡¿Ó¦Öú»ØÌû
¡ï ¡ï ¡ï ¡ï ¡ï ¡ï ¡ï ¡ï ¡ï ¡ï
¸Ðл²ÎÓ룬ӦÖúÖ¸Êý +1
δÑë--: ½ð±Ò+10, ¡ï¡ï¡ï¡ï¡ï×î¼Ñ´ð°¸, Ò²¾ÍÊÇÕý³£ÏÖÏóÊǰɣ¿µ«ÊÇΪʲô²¨¶¯Õâô´óÄØ£¿¶øÇÒϽµµÃÒ²ºÜѸËÙ£¬µ«ÊÇÖÊÁ¿¼õСµÄ²»ÊǺܶࡣ 2016-09-16 17:05:40
¸Ðл²ÎÓ룬ӦÖúÖ¸Êý +1
δÑë--: ½ð±Ò+10, ¡ï¡ï¡ï¡ï¡ï×î¼Ñ´ð°¸, Ò²¾ÍÊÇÕý³£ÏÖÏóÊǰɣ¿µ«ÊÇΪʲô²¨¶¯Õâô´óÄØ£¿¶øÇÒϽµµÃÒ²ºÜѸËÙ£¬µ«ÊÇÖÊÁ¿¼õСµÄ²»ÊǺܶࡣ 2016-09-16 17:05:40
|
²»ÊÇÒÇÆ÷ÎÊÌ⣬ÊÇÑùÆ·ÔÚ²¨¶¯·¶Î§ÄÚ·¢ÉúÁËÈÈЧӦ£¬¸ÃÈÈЧӦÒýÆðÁËζÈ-ʱ¼äÇúÏ߯«ÀëÏßÐÔ¡£°ÑͼÒÔʱ¼äΪºá×ø±ê×÷ͼ¾ÍÕý³£ÁË ·¢×ÔСľ³æAndroid¿Í»§¶Ë |
4Â¥2016-09-14 22:40:50














»Ø¸´´ËÂ¥
»¹Çë¸÷λָµã°¡£¡£¡£¡