| 查看: 986 | 回复: 7 | ||
[求助]
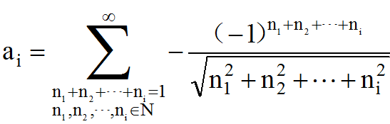
是否收敛?ai与i有近似的表达式吗? 已有1人参与
|
|
如题 发自小木虫Android客户端 2}8{7WW6}WBME`8N[T5DP7J.png |
» 猜你喜欢
面上可以超过30页吧?
已经有13人回复
网上报道青年教师午睡中猝死、熬夜猝死的越来越多,主要哪些原因引起的?
已经有10人回复
为什么中国大学工科教授们水了那么多所谓的顶会顶刊,但还是做不出宇树机器人?
已经有13人回复
什么是人一生最重要的?
已经有8人回复
版面费该交吗
已经有17人回复
体制内长辈说体制内绝大部分一辈子在底层,如同你们一样大部分普通教师忙且收入低
已经有19人回复
【博士招生】太原理工大学2026化工博士
已经有8人回复
280求调剂
已经有4人回复
|
顶 [ 发自手机版 http://muchong.com/3g ] |
2楼2016-09-12 12:58:06
|
顶 [ 发自手机版 http://muchong.com/3g ] |
3楼2016-09-19 12:45:56
|
顶 [ 发自手机版 http://muchong.com/3g ] |
4楼2016-10-01 16:28:52
|
顶 [ 发自手机版 http://muchong.com/3g ] |
5楼2016-10-07 01:32:09
6楼2016-10-07 01:34:27
立迷特
木虫 (小有名气)
- 应助: 70 (初中生)
- 金币: 1967.6
- 红花: 12
- 帖子: 144
- 在线: 84.9小时
- 虫号: 2173233
- 注册: 2012-12-07
- 专业: 概率论与随机分析
7楼2016-10-07 14:23:06
8楼2016-10-07 18:18:41













回复此楼