| 查看: 862 | 回复: 4 | ||
仅一个过客木虫 (正式写手)
|
[求助]
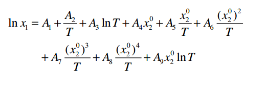
求热力学回归方程方法 Jouyban −Acree model
|
|
![]() |
||
|
|
||
|
2楼2016-09-10 17:12:11
|
|
|
FMStation至尊木虫 (知名作家)
|
【答案】应助回帖
★ ★ ★ ★ ★ ★ ★ ★ ★ ★
仅一个过客: 金币+10, ★★★很有帮助, 大神 能在详细点吗/ 2016-09-12 15:42:23
|
|
|
3楼2016-09-10 21:40:43
|
|
|
仅一个过客木虫 (正式写手)
|
||
![]() |
||
|
4楼2016-09-11 09:06:44
|
|
|
|
5楼2016-09-11 09:10:44
|
|














回复此楼
120