| 查看: 689 | 回复: 3 | |
Iguodala0801新虫 (初入文坛)
|
[求助]
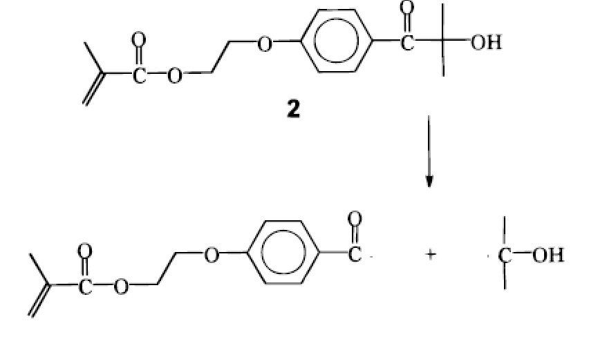
寻找一种光乳液聚合的水溶性光引发剂
|
|
|
|
numb19910307木虫 (小有名气)
|
|
![]() |
|
|
2楼2016-09-11 10:05:29
|
|
myfairy1314银虫 (正式写手)
|
|
|
3楼2016-09-11 12:48:46
|
|
|
4楼2017-03-15 09:41:29
|
|















回复此楼
