²é¿´: 1835  |  »Ø¸´: 2

feng³õÐÄ

гæ (³õÈëÎÄ̳)

[½»Á÷] [Çë½Ì]5% MgO-PPLN¾§ÌåµÄÕÛÉäÂʼÆËãµÄÎÊÌâ ÒÑÓÐ1È˲ÎÓë

¸÷λ¿ÆÑÐǰ±²£¬´ó¼ÒÍíÉϺá£

      ÎÒÊÇÒ»Ãû˶ʿÉú£¬ÎÒÔÚÔĶÁÒÔÏÂÂÛÎĵÄʱºò£¬Óöµ½ÁËÀ§ÄÑ£¬ÔÚ´ËÏò´ó¼ÒÇóÖú¹ØÓÚ
5% MgO-doped congruent LiNbO3µÄÕÛÉäÂʼÆËãµÄÎÊÌâ¡£

ÂÛÎÄÊÇspringer³ö°æÉç³ö°æµÄ£¬Ãû×ÖÈçÏ£º
G. Gayer et. al.  Temperature and wavelength dependent refractive index
equations for MgO-doped congruent and stoichiometric LiNbO3;
Appl. Phys. B . 2008

Á´½ÓµØÖ·ÈçÏ£º
link.springer.com/article/10.1007/s00340-008-2998-2

Ö÷ҪĿµÄ£º
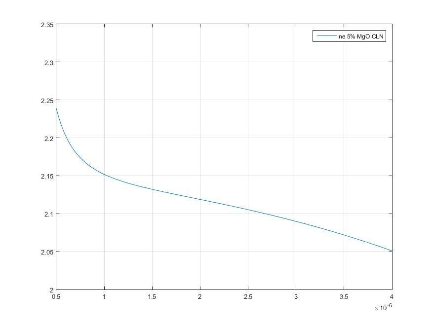
ÎÒÏëÒª¸´ÏÖÂÛÎĵÄFigure 3»æÖƵÄÕÛÉäÂÊËæ×Ų¨³¤±ä»¯µÄÇúÏß¡£

²ÉÓõķ½·¨£º
ÎÒ¸ù¾ÝÂÛÎÄTable 1ÖÐÃèÊöµÄ²ÎÊý£¬ÒÔ¼°ÂÛÎĹ«Ê½(2),(3)º¯Êý£¬±àдÁËMATLAB´úÂë¡£

ÎÒÑ¡ÔñµÄ²¨³¤·¶Î§ÊÇ0.5um-4um£¬Î¶Ȱ´ÕÕÂÛÎÄÃèÊöµÄÊÒÄÚζÈÑ¡Ôñ£¨¼´T=25ÉãÊ϶ȣ©
µ«ÊÇ»æÖƳöÀ´µÄ5% MgO PPLNµÄneÕÛÉäÂʵÄÇúÏß²»Äܹ»ºÍÂÛÎÄÖеÄÒ»Ñù¡£

ÔÚ´ËÏò´ó¼ÒÇóÖú£¬ÎÒ²»ÖªµÀÄÄÀï³ö´íÁË¡£¿ÒÇëÖîλǰ±²ÌṩһЩ½¨Ò飬ллÖîλ¡£
[Çë½Ì]5% MgO-PPLN¾§ÌåµÄÕÛÉäÂʼÆËãµÄÎÊÌâ
ÎÒ»æÖƵÄͼƬ.jpg


[Çë½Ì]5% MgO-PPLN¾§ÌåµÄÕÛÉäÂʼÆËãµÄÎÊÌâ-1
ÂÛÎĵÄͼƬ.png

¸½Â¼1£º
¼ÆËã´úÂë
clc;
clear;
close all;
N=1000;     %   1000 Points
lambda = linspace(0.5e-6,4e-6,N);   %   unit: m
T = 20;     %   degree

ne = zeros(1,N);

for i = 1:N
    ne(i) = F_n_e(lambda(i),T);
end
figure();
plot(lambda,ne);
grid on;
xlim([0.5e-6,4e-6]);
ylim([2,2.35]);

¸½Â¼2£º
±àдµÄ¼ÆËãÕÛÉäÂʵĴúÂë
function ne_result = F_n_e(lambda_m, T )
%Sellmeier Equation's coefficient

%Sellmeier Equation  for ne in Congruent LN  %reference: Temperature and wavelength dependent refractive index equations for MgO-doped congruent and stoichiometric LiNbO3;
%Appl. Phys. B . 2008.   G. Gayer et. al.
%5% MgO Doped congruent LiNbO3(CLN), HCP Corporation(Which is purchased from Crystal Technology Inc.)

% Input:
%    lambda_m: Wavelength lambda in meter, unit: meter
%    T: Temperature, unit: degree
% Output:
%    ne_result: the refractive index

a1 = 5.756;     
a2 = 0.0983;
a3 = 0.2020;
a4 = 189.32;
a5 = 12.52;
a6 = 1.32*10^(-2);

b1 = 2.860*10^(-6);
b2 = 4.700*10^(-8);
b3 = 6.113*10^(-8);
b4 = 1.516*10^(-4);

fT =(T-24.5)*(T+570.82);

lambda = lambda_m * 10^6; ;%½«m±íʾµÄ²¨³¤£¬×ªÎª um±íʾµÄ²¨³¤
ne_2  =  a1 + b1*fT + ( a2 + b2*fT) /(lambda^2-(a3 + b3*fT)^2) + ( a4 + b4 * fT )/ (lambda^2 -a5^2) - a6 * lambda^2 ;
ne_result = sqrt(ne_2);
end
»Ø¸´´ËÂ¥
ÒÑÔÄ   »Ø¸´´ËÂ¥   ¹Ø×¢TA ¸øTA·¢ÏûÏ¢ ËÍTAºì»¨ TAµÄ»ØÌû

chendequan

Ìú³æ (СÓÐÃûÆø)

¡ï
Сľ³æ: ½ð±Ò+0.5, ¸ø¸öºì°ü£¬Ð»Ð»»ØÌû
ÄãÊǶԵģ¬ÂÛÎÄÖÐͼ±í3³öÏÖ´íÎó¡£

» ±¾Ìû¸½¼þ×ÊÔ´Áбí

  • »¶Ó­¼à¶½ºÍ·´À¡£ºÐ¡Ä¾³æ½öÌṩ½»Á÷ƽ̨£¬²»¶Ô¸ÃÄÚÈݸºÔð¡£
    ±¾ÄÚÈÝÓÉÓû§×ÔÖ÷·¢²¼£¬Èç¹ûÆäÄÚÈÝÉæ¼°µ½ÖªÊ¶²úȨÎÊÌ⣬ÆäÔðÈÎÔÚÓÚÓû§±¾ÈË£¬Èç¶Ô°æÈ¨ÓÐÒìÒ飬ÇëÁªÏµÓÊÏ䣺xiaomuchong@tal.com
  • ¸½¼þ 1 : Fig._3.pdf
  • 2016-09-09 18:49:29, 147.49 K
QQ£º516477448£¬ÕæÐİïÖú½â¾öMATLABÏà¹ØÎÊÌ⣬ÌṩÏêϸ×ÊÁÏ£¬WordÎĵµÃ÷È·¾ßÌåÎÊÌâ¼°ÒªÇ󣬾¡Á¦¶øÎª£¡
2Â¥2016-09-09 18:49:30
ÒÑÔÄ   »Ø¸´´ËÂ¥   ¹Ø×¢TA ¸øTA·¢ÏûÏ¢ ËÍTAºì»¨ TAµÄ»ØÌû

feng³õÐÄ

гæ (³õÈëÎÄ̳)

¸ÐлÄúµÄ»Ø¸´¡£ÎÒÒòΪºÜÔç×¢²áСľ³æ£¬Öмä¼ä¸ôÁ˺ܳ¤Ò»¶Îʱ¼äûÓÐÓùý£¬ËùÒÔûÓнð±Ò£¬
µÈÎÒÓÐÁ˽ð±Ò£¬ÎÒ»á¸øÄú×·¼Ó½ð±ÒµÄ£¬Âé·³ÄúµÄʱ¼äÁË¡£

ÎÒÏëÇë½Ìһϣ¬¶ÔÓÚÂÛÎĵĸüÕýÊÇÈçºÎÕÒµ½µÄ£¬Èç¹ûÄܹ»¸æËßÎÒÄǾ͸üºÃÁË¡£
3Â¥2016-09-10 16:14:39
ÒÑÔÄ   »Ø¸´´ËÂ¥   ¹Ø×¢TA ¸øTA·¢ÏûÏ¢ ËÍTAºì»¨ TAµÄ»ØÌû
Ïà¹Ø°æ¿éÌø×ª ÎÒÒª¶©ÔÄÂ¥Ö÷ feng³õÐÄ µÄÖ÷Ìâ¸üÐÂ
×î¾ßÈËÆøÈÈÌûÍÆ¼ö [²é¿´È«²¿] ×÷Õß »Ø/¿´ ×îºó·¢±í
[¿¼ÑÐ] 297Çóµ÷¼Á +3 ÌïºéÓÐ 2026-03-26 3/150 2026-03-26 09:38 by ÑîÑîÑî×Ï
[¿¼ÑÐ] Çóµ÷¼Á +3 QiMing7 2026-03-25 3/150 2026-03-25 21:13 by ¸øÄãÄã×¢ÒâÐÝÏ¢
[¿¼ÑÐ] ÉúÎï¼¼ÊõÓ빤³Ì +3 1294608413 2026-03-25 4/200 2026-03-25 18:02 by 1294608413
[¿¼ÑÐ] 0854µç×ÓÐÅÏ¢Çóµ÷¼Á 324 +4 Promise-jyl 2026-03-23 4/200 2026-03-25 11:36 by Sugarlight
[¿¼ÑÐ] 286Çóµ÷¼Á +11 Faune 2026-03-21 11/550 2026-03-25 10:11 by ÎíÉ¢ºóÏàÓölc
[¿¼ÑÐ] 300·Ö£¬²ÄÁÏ£¬Çóµ÷¼Á£¬Ó¢Ò»Êý¶þ +5 ³¬ÔÞµÄ 2026-03-24 5/250 2026-03-24 21:07 by ÐÇ¿ÕÐÇÔÂ
[¿¼ÑÐ] Ò»Ö¾Ô¸ÄϺ½²ÄÁÏר317·ÖÇóµ÷¼Á +5 ըѽըѽըÊíÌõ 2026-03-23 5/250 2026-03-24 16:52 by ÐÇ¿ÕÐÇÔÂ
[¿¼ÑÐ] 292Çóµ÷¼Á +4 ¶ì¶ì¶ì¶î¶î¶î¶î¶ 2026-03-24 4/200 2026-03-24 16:41 by peike
[¿¼ÑÐ] Ò»Ö¾Ô¸211 ³õÊÔ270·Ö Çóµ÷¼Á +5 ¹ÈÓêÉϰ¶ 2026-03-23 6/300 2026-03-24 16:32 by laoshidan
[¿¼ÑÐ] Çóµ÷¼ÁÒ»Ö¾Ô¸Î人Àí¹¤´óѧ²ÄÁϹ¤³Ì£¨085601£© +5 WW.' 2026-03-23 7/350 2026-03-24 14:50 by sprinining
[¿¼ÑÐ] 276Çóµ÷¼Á¡£ÓаëÄêµç³ØºÍ°ëÄê¸ß·Ö×Óʵϰ¾­Àú +9 ²ÄÁÏѧ257Çóµ÷¼Á 2026-03-23 10/500 2026-03-24 07:36 by wangy0907
[¿¼ÑÐ] 336»¯¹¤µ÷¼Á +4 Íõ´ó̹1 2026-03-23 5/250 2026-03-23 18:32 by allen-yin
[¿¼ÑÐ] 280·ÖÇóµ÷¼Á Ò»Ö¾Ô¸085802 +4 PUMPT 2026-03-22 7/350 2026-03-22 22:13 by ÐÇ¿ÕÐÇÔÂ
[¿¼ÑÐ] 306Çóµ÷¼Á +5 À´ºÃÔËÀ´À´À´ 2026-03-22 5/250 2026-03-22 16:17 by BruceLiu320
[¿¼ÑÐ] Ò»Ö¾Ô¸ÖÐÄÏ»¯Ñ§£¨0703£©×Ü·Ö337Çóµ÷¼Á +9 niko- 2026-03-19 10/500 2026-03-22 16:08 by ColorlessPI
[¿¼ÑÐ] 324Çóµ÷¼Á +6 luckyѽѽѽѼ 2026-03-20 6/300 2026-03-22 16:01 by ColorlessPI
[¿¼ÑÐ] Çóµ÷¼ÁԺУÐÅÏ¢ +6 CX 330 2026-03-21 6/300 2026-03-22 15:25 by ÎÞи¿É»÷111
[¿¼ÑÐ] 269ר˶Çóµ÷¼Á +6 ½ð¶÷±´ 2026-03-21 6/300 2026-03-22 14:31 by ColorlessPI
[¿¼ÑÐ] 297Çóµ÷¼Á +3 ϲ»¶»¹ÊDz»¸ÊÐÄ 2026-03-20 3/150 2026-03-21 18:33 by ѧԱ8dgXkO
[¿¼ÑÐ] Ò»Ö¾Ô¸ÖØÇì´óѧ085700×ÊÔ´Óë»·¾³×Ü·Ö308Çóµ÷¼Á +7 īīĮ 2026-03-20 7/350 2026-03-21 16:36 by barlinike
ÐÅÏ¢Ìáʾ
ÇëÌî´¦ÀíÒâ¼û