| ²é¿´: 580 | »Ø¸´: 2 | ||
hanfeng244ͳæ (³õÈëÎÄ̳)
|
[½»Á÷]
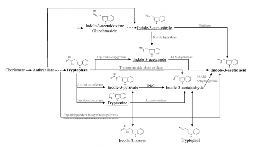
˵ÄÉúÎﻯѧºÃºÃ£¬°ïÈ÷¼ÒÍÆµ½Ò»¸ö·´Ó¦¡£ ÒÑÓÐ1È˲ÎÓë
|
spookyÓÎת
ͳæ (³õÈëÎÄ̳)
- Ó¦Öú: 1 (Ó×¶ùÔ°)
- ½ð±Ò: 84.9
- É¢½ð: 8
- ºì»¨: 2
- Ìû×Ó: 46
- ÔÚÏß: 31Сʱ
- ³æºÅ: 703945
- ×¢²á: 2009-02-19
- רҵ: ΢ÉúÎïÉúÀíÓëÉúÎﻯѧ
¡ï
Сľ³æ: ½ð±Ò+0.5, ¸ø¸öºì°ü£¬Ð»Ð»»ØÌû
Сľ³æ: ½ð±Ò+0.5, ¸ø¸öºì°ü£¬Ð»Ð»»ØÌû
|
ÄãÕâ¸öÎÊÌâÌ«·ºÁË£¬Äܲ»ÄÜ˵µÄ¾ßÌåЩ£¬±ÈÈ磺 1£¬ ÄãÒªÊÇÔÚÌåÍâºÏ³ÉIAA£¬»¹ÊÇÔÚÌåÄÚºÏ³É 2£¬ ÄãÓеÄÖ»ÓÐÉ«°±Ëáõ£»ù×ªÒÆÃ¸£¬»¹ÊÇ¿ÉÒÔͬʱÀûÓñðµÄø 3£¬ Äã¶ÔÕâ¸öºÏ³É;¾¶ÓÐʲô¾ßÌåÒªÇ󣬱ÈÈçÄãÒªÔÚÓÃ×îÉÙµÄø£¨Ò²¾ÍÊÇ×î¶ÌµÄºÏ³É;¾¶£©£¬»¹ÊÇÖ»Òª¿ÉÐоÍÐÐ |
2Â¥2016-09-08 10:56:15
hanfeng244
ͳæ (³õÈëÎÄ̳)
- Ó¦Öú: 0 (Ó×¶ùÔ°)
- ½ð±Ò: 85.9
- ºì»¨: 1
- Ìû×Ó: 47
- ÔÚÏß: 70.2Сʱ
- ³æºÅ: 3718211
- ×¢²á: 2015-03-08
- ÐÔ±ð: GG
- רҵ: ΢ÉúÎïÉúÀíÓëÉúÎﻯѧ
3Â¥2016-09-08 14:35:38













»Ø¸´´ËÂ¥
5