| 查看: 5034 | 回复: 1 | ||
cailianguo金虫 (正式写手)
|
[求助]
求助LSV数据解释 已有1人参与
|
|
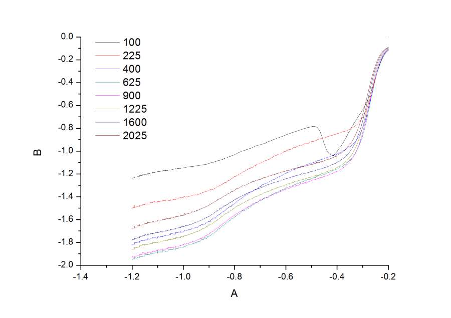
求助图片中的LSV数据怎么解释,100转的时候为什么会出现这个情况?多谢! LSV.jpg@Gamry-电化学 |
» 猜你喜欢
上海工程技术大学生态与功能纺织品开发研究团队招收学硕专硕研究生
已经有0人回复
华南理工0703求调剂,总分336四六级已过
已经有2人回复
物理化学论文润色/翻译怎么收费?
已经有88人回复
青岛大学化学化工学院2026年招收调剂硕士研究生
已经有0人回复
新能源材料方向考研调剂招生(长江师范学院)
已经有0人回复
0854电子信息272求调剂!
已经有0人回复
化学-化工-材料-食品-生物-环境2026年研究生调剂(可以不考数学)
已经有0人回复
化学-化工-材料-食品-生物-环境-农业 2026年研究生调剂(可以不考数学)
已经有1人回复
070300一志愿211,312分求调剂院校
已经有4人回复
26年储能、电池方向博士申请
已经有0人回复
070300化学求调剂
已经有2人回复

mickey008999
至尊木虫 (著名写手)
- ECEPI: 1
- 应助: 186 (高中生)
- 金币: 12649.8
- 散金: 807
- 红花: 47
- 帖子: 2372
- 在线: 263.4小时
- 虫号: 1262820
- 注册: 2011-04-12
- 性别: MM
- 专业: 电化学

2楼2016-09-06 12:15:02














回复此楼