| 查看: 457 | 回复: 1 | |
[求助]
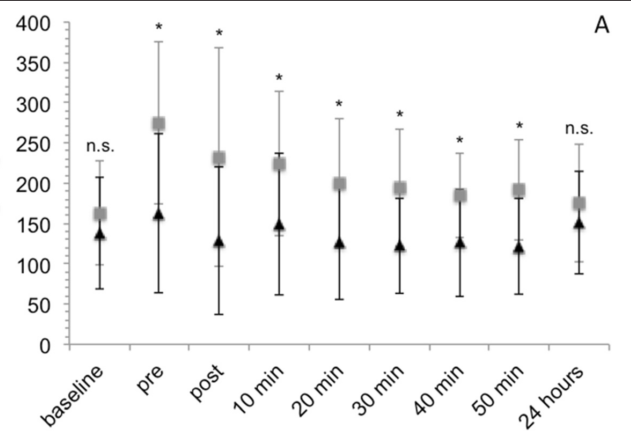
请问各位大神,这是什么统计图?怎样从中提取具体数据呢?
|
|
|
|
|
|
2楼2016-09-03 16:32:05
|
|














回复此楼