| 查看: 1013 | 回复: 6 | ||
[求助]
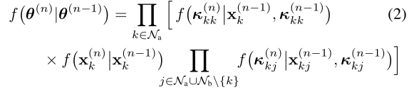
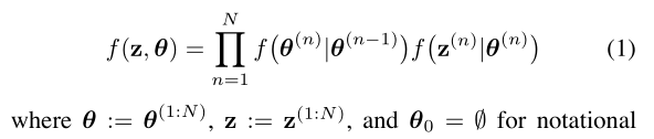
阅读文献时,发现好多公式不用=号,而是用 := 求解。谢谢 已有2人参与
|
||
|
|
||
ttcaixp新虫 (小有名气)
|
||
|
2楼2016-09-03 06:25:43
|
|
|
|
3楼2016-09-03 13:38:34
|
|
|
|
4楼2016-09-04 02:22:14
|
|
|
mazedws新虫 (职业作家)
|
||
|
5楼2016-09-05 08:18:19
|
|
|
mazedws新虫 (职业作家)
|
||
|
6楼2016-09-05 08:20:15
|
|
|
FMStation至尊木虫 (知名作家)
|
【答案】应助回帖
|
|
|
7楼2016-09-06 10:19:05
|
|













回复此楼
5