| 查看: 2700 | 回复: 3 | |||
逝水2011实习版主
|
[交流]
COMSOL 如何修改预置接口中的模型和方程
|
|
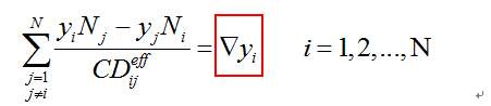
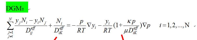
请教各位大侠,我想利用COMSOL模拟SOFC(固体氧化物燃料电池),其中,描述扩散的方程选择DGM(尘气模型),但是预置接口只有SM和FM,我该如何实现将DGM模型导入模型中并求解? SMM模型: smm.jpg dgm.jpg |
» 猜你喜欢
0856,269分求调剂
已经有7人回复
一志愿上海海洋大学083200食品学硕,求调剂,接受其他专业
已经有4人回复
070300化学279求调剂
已经有15人回复
295材料工程专硕求调剂
已经有16人回复
805600专硕材料与化工348分求调剂
已经有4人回复
304求调剂
已经有14人回复
求调剂推荐 材料 304
已经有21人回复
288求调剂 一志愿哈工大 材料与化工
已经有27人回复
材料调剂
已经有14人回复
材料调剂
已经有9人回复
逝水2011
专家顾问
![]()
![]()
![]()
![]()
- 应助: 0 (幼儿园)
- 金币: 1.3
- 散金: 5
- 红花: 1
- 帖子: 23
- 在线: 7.7小时
- 虫号: 4155074
- 注册: 2015-10-18
- 性别: GG
- 专业: 工程热物理与能源利用
2楼2017-03-18 10:43:09
逝水2011
实习版主
![]()
![]()
![]()
![]()
- 应助: 0 (幼儿园)
- 金币: 1.3
- 散金: 5
- 红花: 1
- 帖子: 23
- 在线: 7.7小时
- 虫号: 4155074
- 注册: 2015-10-18
- 性别: GG
- 专业: 工程热物理与能源利用
3楼2017-05-02 20:37:44
阿长与山海经
管理员
![]()
![]()
![]()
![]()
- 应助: 0 (幼儿园)
- 金币: 917.4
- 散金: 100
- 帖子: 387
- 在线: 126.6小时
- 虫号: 4462803
- 注册: 2016-03-03
- 专业: 凝聚态物性I:结构、力学和
4楼2018-09-06 19:19:13














回复此楼
逝水2011