版块导航
正在加载中...
客户端APP下载
论文辅导
申博辅导
登录
注册
帖子
帖子
用户
本版
应《网络安全法》要求,自2017年10月1日起,未进行实名认证将不得使用互联网跟帖服务。为保障您的帐号能够正常使用,请尽快对帐号进行手机号验证,感谢您的理解与支持!
24小时热门版块排行榜
>
论坛更新日志
(2454)
>
虫友互识
(103)
>
导师招生
(95)
>
招聘信息布告栏
(62)
>
文献求助
(53)
>
休闲灌水
(48)
>
考博
(19)
>
博后之家
(12)
>
论文投稿
(10)
>
基金申请
(9)
>
公派出国
(8)
>
论文道贺祈福
(7)
>
外文书籍求助
(7)
>
考研
(7)
>
海外博后
(6)
>
硕博家园
(6)
小木虫论坛-学术科研互动平台
»
专业学科区
»
数学
»
基础数学
»
Mathematics 画图求助
南方科技大学公共卫生及应急管理学院2026级博士研究生招生报考通知(长期有效)
4
1/1
返回列表
查看: 1336 | 回复: 3
只看楼主
@他人
存档
新回复提醒
(忽略)
收藏
在APP中查看
海心焰
至尊木虫
(著名写手)
应助: 2
(幼儿园)
金币: 15272.4
红花: 4
帖子: 1061
在线: 197.4小时
虫号: 1755030
注册: 2012-04-14
性别: GG
专业: 基础物理学
[
求助
]
Mathematics 画图求助
题目描述如下:
参数 T>0,q<0,以及 r_1 和 r_2 满足如下方程组:
函数
,画出 L-T 的关系图。
求助于mathematics大神,可否有空帮忙看一看如何画。
回复此楼
» 猜你喜欢
孩子确诊有中度注意力缺陷
已经有13人回复
三甲基碘化亚砜的氧化反应
已经有4人回复
请问下大家为什么这个铃木偶联几乎不反应呢
已经有5人回复
请问有评职称,把科研教学业绩算分排序的高校吗
已经有5人回复
2025冷门绝学什么时候出结果
已经有3人回复
天津工业大学郑柳春团队欢迎化学化工、高分子化学或有机合成方向的博士生和硕士生加入
已经有4人回复
康复大学泰山学者周祺惠团队招收博士研究生
已经有6人回复
AI论文写作工具:是科研加速器还是学术作弊器?
已经有3人回复
论文投稿,期刊推荐
已经有4人回复
硕士和导师闹得不愉快
已经有13人回复
» 本主题相关价值贴推荐,对您同样有帮助:
mathematic 工具书 (全)
已经有71人回复
mathematic运行后出现错误
已经有1人回复
mathematic数学使用基础资料
已经有13人回复
mathematic积分
已经有0人回复
请教mathematic问题?关于解微分方程组的和画图的一些问题。
已经有19人回复
请教:如何将Mathematic中两列矩阵数据,导入到Excel中?
已经有5人回复
虚心求教:如何用Mathematic平滑数据?谢谢
已经有2人回复
请问Siam Journal on mathematic analysis 杂志怎样
已经有9人回复
mathematic 三维图
已经有6人回复
mathematic中下面一句啥意思?
已经有2人回复
mathematic model 与 mathematical model 区别
已经有1人回复
Mathematic插入符号求助
已经有3人回复
mathematic modeling
已经有5人回复
【资源】mathematic7
已经有11人回复
【求助】mathematic软件
已经有2人回复
mathematic计算
已经有0人回复
世情推物理!
1楼
2016-08-31 20:38:07
已阅
关注TA
给TA发消息
送TA红花
TA的回帖
Mr__Right
专家顾问
(著名写手)
专家经验: +31
数学EPI: 1
应助: 317
(大学生)
金币: 14456.3
散金: 500
红花: 54
帖子: 2716
在线: 950.6小时
虫号: 1972612
注册: 2012-09-04
性别: GG
专业: 应用数学方法
管辖:
程序语言
请问楼主的这问题是什么背景的?哪些是常数(常数的值都给出最好)?哪些是变量?
物理意义具体是什么?式子是如何推导来的?
这样的曲线有什么物理意义?
代码最好也以 code 而不是图片的格式贴出来。方便大家学习。
-------------------------------------------
文章乃身外之物, 多顾及编辑审稿人和读者的感受就好了.
赞
一下
(1人)
回复此楼
文章乃身外之物,要多考虑编辑、审稿人和读者的感受。
2楼
2016-09-01 15:44:15
已阅
关注TA
给TA发消息
送TA红花
TA的回帖
海心焰
至尊木虫
(著名写手)
应助: 2
(幼儿园)
金币: 15272.4
红花: 4
帖子: 1061
在线: 197.4小时
虫号: 1755030
注册: 2012-04-14
性别: GG
专业: 基础物理学
引用回帖:
2楼
:
Originally posted by
Mr__Right
at 2016-09-01 15:44:15
请问楼主的这问题是什么背景的?哪些是常数(常数的值都给出最好)?哪些是变量?
物理意义具体是什么?式子是如何推导来的?
这样的曲线有什么物理意义?
代码最好也以 code 而不是图片的格式贴出来。方便大家 ...
就一个纯数学的题目,没有说对应的具体问题,其中q是一个负常数,可任意取;其他都是变量
赞
一下
回复此楼
世情推物理!
3楼
2016-09-01 16:04:15
已阅
关注TA
给TA发消息
送TA红花
TA的回帖
海心焰
至尊木虫
(著名写手)
应助: 2
(幼儿园)
金币: 15272.4
红花: 4
帖子: 1061
在线: 197.4小时
虫号: 1755030
注册: 2012-04-14
性别: GG
专业: 基础物理学
引用回帖:
2楼
:
Originally posted by
Mr__Right
at 2016-09-01 15:44:15
请问楼主的这问题是什么背景的?哪些是常数(常数的值都给出最好)?哪些是变量?
物理意义具体是什么?式子是如何推导来的?
这样的曲线有什么物理意义?
代码最好也以 code 而不是图片的格式贴出来。方便大家 ...
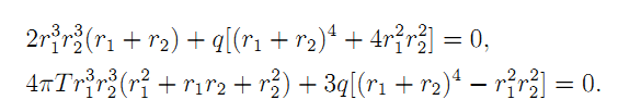
r_1和r_2满足的方程我重新写一下:
赞
一下
回复此楼
世情推物理!
4楼
2016-09-01 16:09:09
已阅
关注TA
给TA发消息
送TA红花
TA的回帖
相关版块跳转
数理科学综合
机械
物理
数学
农林
食品
地学
能源
信息科学
土木建筑
航空航天
转基因
我要订阅楼主
海心焰
的主题更新
4
1/1
返回列表
信息提示
关闭
请填处理意见
关闭
确定