| ²é¿´: 1013 | »Ø¸´: 2 | ||
Ïþ½¿xjľ³æ (ÕýʽдÊÖ)
|
[ÇóÖú]
ÇóÖúÖ§»¯¾ÛÃѶàÔª´¼µÄ¹ºÂòÇþµÀ ÒÑÓÐ1È˲ÎÓë
|
|
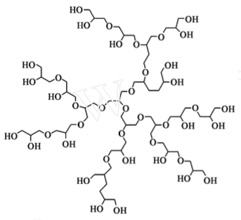
¸ß·Ö×ÓС°×һö£¬¸Õ½Ó´¥Õâ·½ÃæµÄ¶«Î÷£¬ÐèÒª¹ºÂòÀàËÆÏÂͼ½á¹¹µÄ³¬Ö§»¯¾ÛÃѶàÔª´¼£¬Çó¸÷λ´óÉñ·ÖÏíһЩ¿É¿¿µÄ¹©Ó¦ÉÌ 11111.png 22222.jpg |
» ²ÂÄãϲ»¶
085601 329·Öµ÷¼Á
ÒѾÓÐ3È˻ظ´
±¾2Ò»Ö¾Ô¸C9-333·Ö£¬²ÄÁÏ¿ÆÑ§Ó빤³Ì£¬Çóµ÷¼Á
ÒѾÓÐ3È˻ظ´
Ò»Ö¾Ô¸´óÁ¬Àí¹¤´óѧ²ÄÁÏÇóµ÷¼Á
ÒѾÓÐ5È˻ظ´
²ÄÁÏÓ뻯¹¤µ÷¼ÁÒ»Ö¾Ô¸´óÁ¬º£ÊÂ085600£¬349
ÒѾÓÐ6È˻ظ´
Ò»Ö¾Ô¸Öк£Ñó320»¯Ñ§¹¤³ÌÓë¼¼Êõѧ˶Çóµ÷¼Á
ÒѾÓÐ4È˻ظ´
²ÄÁÏ¿ÆÑ§Ó빤³Ìµ÷¼Á
ÒѾÓÐ11È˻ظ´
311Çóµ÷¼ÁÒ»Ö¾Ô¸ºÏ·Ê¹¤Òµ´óѧ
ÒѾÓÐ4È˻ظ´
һ־ԸʳƷ¿ÆÑ§Ó빤³Ì083200Çóµ÷¼Á
ÒѾÓÐ4È˻ظ´
²ÄÁÏ¿ÆÑ§Ó빤³ÌÇóµ÷¼Á
ÒѾÓÐ10È˻ظ´
Ò»Ö¾Ô¸±±»¯085600²ÄÁÏר˶275|ÓÐÎÄÕÂרÀû£üÇóµ÷¼Á
ÒѾÓÐ11È˻ظ´
» ±¾Ö÷ÌâÏà¹ØÉ̼ÒÍÆ¼ö: (ÎÒÒ²ÒªÔÚÕâÀïÍÆ¹ã)
dadagege
ÖÁ×ðľ³æ (Ö°Òµ×÷¼Ò)
- Ó¦Öú: 665 (²©Ê¿)
- ½ð±Ò: 15960.9
- É¢½ð: 1288
- ºì»¨: 77
- Ìû×Ó: 3179
- ÔÚÏß: 1025.5Сʱ
- ³æºÅ: 2193290
- ×¢²á: 2012-12-18
- ÐÔ±ð: GG
- רҵ: ¸ß·Ö×Ӻϳɻ¯Ñ§

2Â¥2016-08-26 13:43:09
ÂíÌãÌã½´
гæ (³õÈëÎÄ̳)
- Ó¦Öú: 1 (Ó×¶ùÔ°)
- ½ð±Ò: 146.3
- Ìû×Ó: 35
- ÔÚÏß: 16.2Сʱ
- ³æºÅ: 3024543
- ×¢²á: 2014-03-06
- רҵ: ¸ß·Ö×ÓÎïÀíÓë¸ß·Ö×ÓÎïÀí»¯
3Â¥2016-09-14 16:45:58














»Ø¸´´ËÂ¥