| 查看: 3802 | 回复: 4 | ||
[交流]
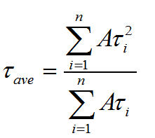
稀土离子荧光寿命平均值的计算方法
|


2楼2016-09-03 22:53:26
greatlodge
铁虫 (正式写手)
- 应助: 1 (幼儿园)
- 金币: 725
- 红花: 1
- 沙发: 1
- 帖子: 312
- 在线: 68小时
- 虫号: 1655010
- 注册: 2012-03-01
- 专业: 食品科学基础
3楼2016-10-15 10:53:50
yyzhanandy993
金虫 (小有名气)
- 应助: 0 (幼儿园)
- 金币: 1218.1
- 散金: 110
- 红花: 1
- 帖子: 163
- 在线: 54.6小时
- 虫号: 533937
- 注册: 2008-03-27
- 性别: GG
- 专业: 半导体材料
4楼2018-03-20 10:30:03
5楼2019-04-23 21:07:30














回复此楼