²é¿´: 2538  |  »Ø¸´: 0

jing1jiayou

гæ (СÓÐÃûÆø)

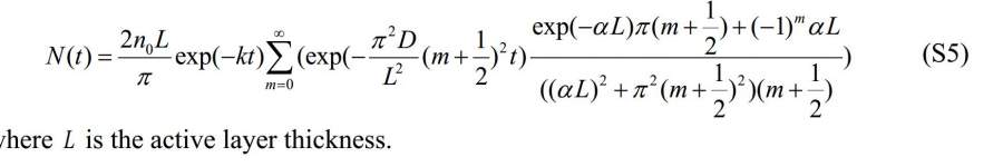
[ÇóÖú] ÈçºÎ¼ÆËã¸ÆîÑ¿óµÄÔØÁ÷×ÓÀ©É¢³¤¶ÈLd

¸ù¾Ý¹«Ê½ÈçºÎ¼ÆËã³öÀ©É¢ÏµÊýÄØ£¿
ÈçºÎµÃµ½DºÍLµÄÇúÏß
¹«Ê½ÖеÄmÇóºÍÔÚ¼ÆËãÄ£ÄâÖÐÔõô´¦ÀíÄØ£¿

ÈçºÎ¼ÆËã¸ÆîÑ¿óµÄÔØÁ÷×ÓÀ©É¢³¤¶ÈLd
²¶»ñ.JPG
»Ø¸´´ËÂ¥
ÒÑÔÄ   »Ø¸´´ËÂ¥   ¹Ø×¢TA ¸øTA·¢ÏûÏ¢ ËÍTAºì»¨ TAµÄ»ØÌû
Ïà¹Ø°æ¿éÌø×ª ÎÒÒª¶©ÔÄÂ¥Ö÷ jing1jiayou µÄÖ÷Ìâ¸üÐÂ
×î¾ßÈËÆøÈÈÌûÍÆ¼ö [²é¿´È«²¿] ×÷Õß »Ø/¿´ ×îºó·¢±í
[¿¼ÑÐ] Ò»Ö¾Ô¸»ª¶«Àí¹¤´óѧ081700£¬³õÊÔ·ÖÊý271 +3 kotoko_ik 2026-03-23 4/200 2026-03-23 20:47 by ÎҵĴ¬Îҵĺ£
[¿¼ÑÐ] 335·Ö | ²ÄÁÏÓ뻯¹¤×¨Ë¶ | GPA 4.07 | ÓпÆÑо­Àú +3 cccchenso 2026-03-23 3/150 2026-03-23 19:55 by pswait
[¿¼ÑÐ] 328Çóµ÷¼Á£¬Ó¢ÓïÁù¼¶551£¬ÓпÆÑо­Àú +7 ÉúÎ﹤³Ìµ÷¼Á 2026-03-17 12/600 2026-03-23 18:18 by YMUÊ©ÀÏʦ
[¿¼ÑÐ] ½ÓÊÕ2026˶ʿµ÷¼Á(ѧ˶+ר˶) +4 allen-yin 2026-03-23 6/300 2026-03-23 15:04 by Íô£¡£¿£¡
[¿¼ÑÐ] ¹¤¿Æ²ÄÁÏ085601 279Çóµ÷¼Á +8 À§ÓÚÐdz¿ 2026-03-17 10/500 2026-03-23 13:05 by ×íÔÚ·çÀï
[¿¼ÑÐ] ÇóÀÏʦÊÕÎÒ +3 zzh16938784 2026-03-23 3/150 2026-03-23 12:56 by ztnimte
[¿¼ÑÐ] 0703 µ÷¼Á +3 ÎÒ¿ÉÒÔÉϰ¶µÄ¶Ô 2026-03-16 6/300 2026-03-23 08:52 by ×íÔÚ·çÀï
[¿¼ÑÐ] 276Çóµ÷¼Á +3 YNRYG 2026-03-21 4/200 2026-03-23 08:31 by ×íÔÚ·çÀï
[¿¼ÑÐ] ²ÄÁÏÓ뻯¹¤085600£¬×Ü·Ö304£¬±¾¿ÆÓÐÁ½Æªsci²ÎÓ룬Çóµ÷¼Á +4 ÐÒÔ˵Ľ´½´ 2026-03-22 5/250 2026-03-22 20:15 by edmund7
[¿¼ÑÐ] 085600²ÄÁÏÓ뻯¹¤306 +4 z1z2z3879 2026-03-21 4/200 2026-03-21 23:44 by ms629
[¿¼ÑÐ] ²ÄÁÏÓ뻯¹¤£¨0856£©304ÇóBÇøµ÷¼Á +3 Çñgl 2026-03-20 7/350 2026-03-21 19:05 by 15709483992
[¿¼ÑÐ] 278Çóµ÷¼Á +9 ÑÌ»ðÏÈÓÚ´º 2026-03-17 9/450 2026-03-21 17:47 by ѧԱ8dgXkO
[¿¼ÑÐ] ²ÄÁÏ 271Çóµ÷¼Á +5 Õ¹ÐÅÔÃ_ 2026-03-21 5/250 2026-03-21 17:29 by ѧԱ8dgXkO
[¿¼ÑÐ] 299Çóµ÷¼Á +4 ijijijijλ 2026-03-21 4/200 2026-03-21 16:30 by barlinike
[¿¼ÑÐ] Ò»Ö¾Ô¸ÎäÀí²ÄÁÏ305·ÖÇóµ÷¼Á +6 ÏëÉϰ¶µÄÀðÓã 2026-03-18 7/350 2026-03-21 01:03 by JourneyLucky
[¿¼ÑÐ] Ò»Ö¾Ô¸»ªÄÏʦ´ó 070300£¨»¯Ñ§£©304·ÖÇóµ÷¼Á +3 0703ÎäÜ·»ÛÑ©304 2026-03-18 3/150 2026-03-21 00:48 by JourneyLucky
[¿¼ÑÐ] Ò»Ö¾Ô¸ Î÷±±´óѧ £¬070300»¯Ñ§Ñ§Ë¶£¬×Ü·Ö287£¬Ë«·ÇÒ»±¾£¬Çóµ÷¼Á¡£ +4 ³¿»èÏßÓëÐǺ£ 2026-03-19 4/200 2026-03-20 22:15 by JourneyLucky
[¿¼ÑÐ] Çóµ÷¼Á +3 eation27 2026-03-20 3/150 2026-03-20 19:32 by JourneyLucky
[¿¼ÑÐ] ÉúÎïѧµ÷¼ÁÕÐÈË£¡£¡£¡ +3 ɽº£Ììá° 2026-03-17 4/200 2026-03-19 21:34 by ÔõôÊÍ»³
[¿¼ÑÐ] 0703»¯Ñ§µ÷¼Á +5 pupcoco 2026-03-17 8/400 2026-03-19 13:58 by houyaoxu
ÐÅÏ¢Ìáʾ
ÇëÌî´¦ÀíÒâ¼û