| ²é¿´: 2331 | »Ø¸´: 2 | |
¼â¿¨±óгæ (СÓÐÃûÆø)
|
[ÇóÖú]
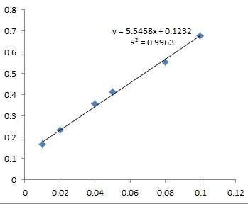
¹ØÓÚÁòËáÝìͪ·¨²â¶¨¶àÌǺ¬Á¿µÄ±ê׼Ʒ
|
|
|
|
ÂþÂþµÄСľ³æÐ³æ (³õÈëÎÄ̳)
|
|
|
2Â¥2016-11-17 16:56:54
|
|
¼â¿¨±óгæ (СÓÐÃûÆø)
|
|
|
3Â¥2017-07-06 16:42:24
|
|














»Ø¸´´ËÂ¥
5