| ²é¿´: 1294 | »Ø¸´: 4 | ||
mumuwolfyÌú³æ (СÓÐÃûÆø)
|
[ÇóÖú]
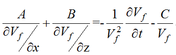
ÇóÖúÒ»½×ÒþÐÎÆ«Î¢·Ö·½³ÌÇó½â ÒÑÓÐ1È˲ÎÓë
|
|
ÂÛÎÄÖÐÍÆµ¼³öÁËÒ»¸öÒ»½×ƫ΢·Ö·½³Ì£¬ÐÎʽÈçÏ£¬µ«Êýѧ¹¦µ×Ì«²î£¬²»ÖªµÀÔõô½â£¬À´Êýѧ°å¿éÏò¸÷λ´óÉñÇó½Ì£¬²»Ê¤¸Ð¼¤¡£ ÐÎʽ.png |
» ²ÂÄãϲ»¶
¡¾¿¼Ñе÷¼Á¡¿»¯Ñ§×¨Òµ 281·Ö£¬Ò»Ö¾Ô¸ËÄ´¨´óѧ£¬³ÏÐÄÇóµ÷¼Á
ÒѾÓÐ8È˻ظ´
Ò»Ö¾Ô¸»ªÄÏʦ´ó 070300£¨»¯Ñ§£©304·ÖÇóµ÷¼Á
ÒѾÓÐ3È˻ظ´
Ò»Ö¾Ô¸ Î÷±±´óѧ £¬070300»¯Ñ§Ñ§Ë¶£¬×Ü·Ö287£¬Ë«·ÇÒ»±¾£¬Çóµ÷¼Á¡£
ÒѾÓÐ3È˻ظ´
Ò»Ö¾Ô¸ÖØÇì´óѧ085700×ÊÔ´Óë»·¾³×¨Ë¶£¬×Ü·Ö308Çóµ÷¼Á
ÒѾÓÐ3È˻ظ´
354Çóµ÷¼Á
ÒѾÓÐ8È˻ظ´
304Çóµ÷¼Á
ÒѾÓÐ6È˻ظ´
Ò»Ö¾Ô¸Î÷ÄϽ»´ó£¬Çóµ÷¼Á
ÒѾÓÐ5È˻ظ´
299Çóµ÷¼Á
ÒѾÓÐ5È˻ظ´
²ÄÁÏרҵÇóµ÷¼Á
ÒѾÓÐ6È˻ظ´
311Çóµ÷¼Á
ÒѾÓÐ5È˻ظ´
¡ï ¡ï ¡ï ¡ï ¡ï ¡ï ¡ï ¡ï ¡ï ¡ï
¸Ðл²ÎÓ룬ӦÖúÖ¸Êý +1
mumuwolfy: ½ð±Ò+10, ¡ïÓаïÖú, лл 2016-08-11 16:45:09
¸Ðл²ÎÓ룬ӦÖúÖ¸Êý +1
mumuwolfy: ½ð±Ò+10, ¡ïÓаïÖú, лл 2016-08-11 16:45:09
|
±¾ÌûÄÚÈݱ»ÆÁ±Î |
2Â¥2016-08-11 15:52:29
mumuwolfy
Ìú³æ (СÓÐÃûÆø)
- Ó¦Öú: 0 (Ó×¶ùÔ°)
- ½ð±Ò: 4405.7
- É¢½ð: 2
- ºì»¨: 6
- Ìû×Ó: 141
- ÔÚÏß: 81.4Сʱ
- ³æºÅ: 1972720
- ×¢²á: 2012-09-04
- ÐÔ±ð: GG
- רҵ: ¾ÛºÏÎï¹²»ìÓ븴ºÏ²ÄÁÏ
3Â¥2016-08-11 16:44:43
watesoyan
½ð³æ (ÕýʽдÊÖ)
- Ó¦Öú: 20 (СѧÉú)
- ½ð±Ò: 1795.3
- É¢½ð: 60
- ºì»¨: 7
- Ìû×Ó: 442
- ÔÚÏß: 108Сʱ
- ³æºÅ: 3329251
- ×¢²á: 2014-07-18
- רҵ: ¼¤¹â
4Â¥2016-08-13 18:49:41
mumuwolfy
Ìú³æ (СÓÐÃûÆø)
- Ó¦Öú: 0 (Ó×¶ùÔ°)
- ½ð±Ò: 4405.7
- É¢½ð: 2
- ºì»¨: 6
- Ìû×Ó: 141
- ÔÚÏß: 81.4Сʱ
- ³æºÅ: 1972720
- ×¢²á: 2012-09-04
- ÐÔ±ð: GG
- רҵ: ¾ÛºÏÎï¹²»ìÓ븴ºÏ²ÄÁÏ
5Â¥2016-08-18 08:55:25













»Ø¸´´ËÂ¥