| 查看: 406 | 回复: 2 | ||
[求助]
各位师兄师姐能教帮我解这个线性方程组么 已有2人参与
|
|
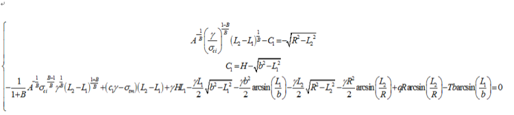
下面一张是要解的方程组,一张是我用Matlab计算的命令流,没能得出实数解,希望各位教教我怎么解这个非线性方程组 发自小木虫IOS客户端 |
» 猜你喜欢
请问还有没有用Latex写文章的小伙伴们?
已经有0人回复
光学工程学硕调剂信息
已经有32人回复
物理学I论文润色/翻译怎么收费?
已经有244人回复
欢迎加入课题组
已经有0人回复
散金币,求好运,祝面上顺利!
已经有78人回复
华东师范大学芯片设计徐珑真实水平咋样
已经有1人回复
调剂
已经有0人回复
【新加坡】纳米电子器件项目组有“联合培养博士生”名额
已经有0人回复
中德博士后2026项目5月30日截止- 国内博士后入站、德国两年全职
已经有0人回复
面向全球申请人的中德博士后2026项目5月30日截止- 国内博后入站德国两年全职
已经有0人回复
【新加坡】纳米电子器件项目组有“联合培养博士生”名额
已经有2人回复

dingd
铁杆木虫 (职业作家)
- 计算强帖: 4
- 应助: 1641 (讲师)
- 金币: 15037.3
- 散金: 101
- 红花: 234
- 帖子: 3410
- 在线: 1223.7小时
- 虫号: 291104
- 注册: 2006-10-28
2楼2016-08-08 17:20:14
cob
木虫 (正式写手)
- 应助: 29 (小学生)
- 金币: 1926.1
- 散金: 666
- 红花: 4
- 帖子: 443
- 在线: 320.8小时
- 虫号: 348545
- 注册: 2007-04-18
- 性别: GG
- 专业: 机械动力学
3楼2016-08-09 20:11:17













回复此楼