| 查看: 9140 | 回复: 1 | ||
| 【悬赏金币】回答本帖问题,作者娜就是爱将赠送您 10 个金币 | ||
[求助]
关于误差棒图的分析,正负误差线为什么不同?
|
||
|
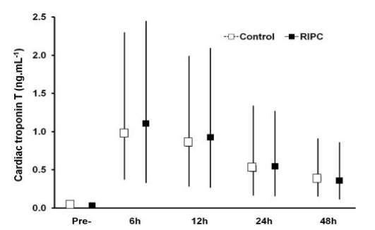
请问 在A图中,上下的竖线是不是误差线?如果是的话,为什么正负误差线不一样?如果不是,那这幅图该怎么分析? 在B图中,为什么第一个图只有上半部分误差线,而第二个图只有下半部分误差线?怎么判断在什么情况下用哪半部分误差线? A.jpg B.png@Monash2011 |
» 猜你喜欢
假如你的研究生提出不合理要求
已经有12人回复
实验室接单子
已经有7人回复
全日制(定向)博士
已经有5人回复
萌生出自己或许不适合搞科研的想法,现在跑or等等看?
已经有4人回复
Materials Today Chemistry审稿周期
已经有4人回复
参与限项
已经有3人回复
对氯苯硼酸纯化
已经有3人回复
求助:我三月中下旬出站,青基依托单位怎么办?
已经有12人回复
所感
已经有4人回复
要不要辞职读博?
已经有7人回复
luzichuan
木虫 (正式写手)
- 应助: 1 (幼儿园)
- 金币: 4399.4
- 散金: 460
- 红花: 5
- 帖子: 466
- 在线: 172.6小时
- 虫号: 1475154
- 注册: 2011-11-03
- 专业: 金属基复合材料
2楼2016-08-07 22:39:03












回复此楼