| 查看: 899 | 回复: 5 | ||
[求助]
循环伏安图谱求助 已有4人参与
|
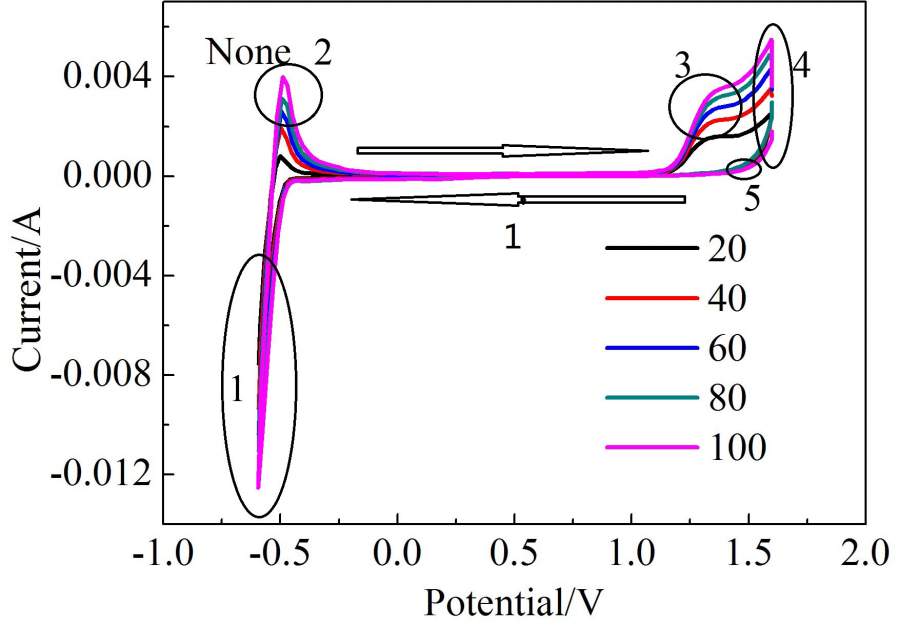
循环伏安图谱序号1~5中,2和3是峰,哪个是氧化峰哪个是还原峰呢?另外1和4代表什么呢,有含义吗?5是不是峰?小弟第一次做循环伏安,求大神指教一二,不胜感激。![]() ![]() ![]() 循环伏安扫描的溶液是“柠檬酸铵的水溶液”,图中标注为扫速,箭头为扫描方向,箭头1为起始端。 Graph1副本.jpg |
» 猜你喜欢
德国Karlsruhe Institute of Technology招收电化学储能及联合培养CSC博士等
已经有20人回复
德国Karlsruhe Institute of Technology招收电化学储能及联合培养CSC博士
已经有24人回复
分析化学论文润色/翻译怎么收费?
已经有87人回复
德国Karlsruhe Institute of Technology招收电化学储能及联合培养CSC博士
已经有1人回复
固态锂金属电池迁移数计算求助
已经有1人回复
荷兰奈梅亨大学赵文博与Galimberti课题组招收理论计算CSC博士 2000 欧元/月+房补
已经有0人回复
26储能博士申请自荐
已经有22人回复
上海交通大学--宁波东方理工大学电池方向博士招生
已经有10人回复
海南大学全国重点实验室杨金霖老师招收储能电池方向博士生(2026年3月报名,9月入学)
已经有1人回复
海南师范大学2026年博士研究生招收 (在职想提升学历人员可报考) 申请考核制+普通招考
已经有0人回复
申博求助
已经有0人回复

langzhizhou
版主 (职业作家)
- ECEPI: 13
- 应助: 1072 (博后)
- 贵宾: 1.631
- 金币: 32033.8
- 散金: 6372
- 红花: 305
- 帖子: 3172
- 在线: 409.1小时
- 虫号: 507377
- 注册: 2008-02-19
- 性别: GG
- 专业: 电化学
- 管辖: 电化学

2楼2016-07-30 23:53:40
小冀-
版主 (著名写手)
- 应助: 713 (博后)
- 贵宾: 3.033
- 金币: 11446.9
- 散金: 1055
- 红花: 82
- 帖子: 2509
- 在线: 445.9小时
- 虫号: 1521695
- 注册: 2011-12-03
- 性别: GG
- 专业: 生物信息学
- 管辖: 微生物
【答案】应助回帖
★ ★ ★ ★ ★
感谢参与,应助指数 +1
低调小弟: 金币+5, ★有帮助 2016-07-31 15:17:26
感谢参与,应助指数 +1
低调小弟: 金币+5, ★有帮助 2016-07-31 15:17:26
|
4是扫描结束时出现的瞬时高电流,不算峰,1可能是还原峰,你可以改变一下扫描区间,看看这个峰还在不在,在的话就是了 发自小木虫Android客户端 |

3楼2016-07-31 00:15:06
scauwangyi
木虫 (正式写手)
- 应助: 34 (小学生)
- 金币: 7648.9
- 红花: 5
- 帖子: 966
- 在线: 91.1小时
- 虫号: 4341112
- 注册: 2016-01-07
- 性别: GG
- 专业: 电化学
4楼2016-07-31 08:56:48
lsh200100
铁杆木虫 (著名写手)
红尘来去一场梦
- ECEPI: 1
- 应助: 159 (高中生)
- 金币: 8499.9
- 散金: 65
- 红花: 89
- 帖子: 2068
- 在线: 524.6小时
- 虫号: 539244
- 注册: 2008-04-04
- 性别: GG
- 专业: 能源化工
【答案】应助回帖
★ ★ ★ ★ ★
感谢参与,应助指数 +1
低调小弟(langzhizhou代发): 金币+5 2016-07-31 16:46:12
感谢参与,应助指数 +1
低调小弟(langzhizhou代发): 金币+5 2016-07-31 16:46:12
|
所谓的“峰”有没有具体定义?如果没有的话,不要走入概念误区。有电流出现,都可以说是峰,宽的峰、窄的峰、重叠的峰。。。 工作电极电位往低扫,先出现1还原反应,电压上升继续有还原电流,然后出现2氧化反应。可以理解为2是1的可逆反应,也有可能不是可逆反应。 1.2V开始出现不可逆氧化反应,扫速越大表观电流越大(不代表反应总量越多)。电流大小变化与反应动力学有关,比如钝化、反应物浓度变化。。。 无所谓是不是峰。 3,4,5可能是同样的热力学,只是动力学有差异。举个栗子,0度以下水要结冰,结冰速度由放热控制。 |
5楼2016-07-31 15:30:09
lsh200100
铁杆木虫 (著名写手)
红尘来去一场梦
- ECEPI: 1
- 应助: 159 (高中生)
- 金币: 8499.9
- 散金: 65
- 红花: 89
- 帖子: 2068
- 在线: 524.6小时
- 虫号: 539244
- 注册: 2008-04-04
- 性别: GG
- 专业: 能源化工
6楼2016-07-31 15:38:44














回复此楼