| 查看: 1112 | 回复: 4 | |||
zxq8991375铜虫 (小有名气)
|
[求助]
用matlab计算级数求和 已有1人参与
|
|
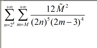
请教大家,如何用matlab计算上式,我计算出来的结果是 piecewise([2^k in R_, -psi(4, 2^k)/768]) 可是答案是1/(31\cdot2^{5k+3}) ,哪位大神帮我一下,比较急! |
» 收录本帖的淘帖专辑推荐
程序 |
» 猜你喜欢
有院领导为了换新车,用横向课题经费买了俩车
已经有9人回复
酰胺脱乙酰基
已经有13人回复
博士延得我,科研能力直往上蹿
已经有8人回复
同年申请2项不同项目,第1个项目里不写第2个项目的信息,可以吗
已经有4人回复
有时候真觉得大城市人没有县城人甚至个体户幸福
已经有10人回复
天津大学招2026.09的博士生,欢迎大家推荐交流(博导是本人)
已经有5人回复
CSC & MSCA 博洛尼亚大学能源材料课题组博士/博士后招生|MSCA经费充足、排名优
已经有6人回复
面上项目申报
已经有3人回复
遇见不省心的家人很难过
已经有22人回复
2楼2016-07-29 17:36:34
我怀念的TQ
木虫 (著名写手)
- 应助: 18 (小学生)
- 金币: 5165.8
- 散金: 83
- 红花: 8
- 帖子: 1245
- 在线: 376小时
- 虫号: 4243427
- 注册: 2015-11-24
- 专业: 无神论

3楼2016-07-29 17:40:09
zxq8991375
铜虫 (小有名气)
- 应助: 0 (幼儿园)
- 金币: 873.6
- 红花: 1
- 帖子: 55
- 在线: 37.9小时
- 虫号: 3807693
- 注册: 2015-04-13
- 专业: 应用数学方法
4楼2016-07-29 17:56:06
FMStation
至尊木虫 (知名作家)
- 应助: 591 (博士)
- 贵宾: 0.03
- 金币: 18231.7
- 红花: 97
- 帖子: 8891
- 在线: 1487.9小时
- 虫号: 2400059
- 注册: 2013-04-04
- 专业: 计算机应用技术
【答案】应助回帖
感谢参与,应助指数 +1
|
>> syms n, k >> y= 12 * symsum( 1 / ( 2 * n )^5, 2^k, inf ) y = (3*zeta(5))/8 - 3/8 參考資料 https://www.mathworks.com/help/symbolic/zeta.html |
5楼2016-08-01 13:17:10













回复此楼
