| ²é¿´: 2719 | »Ø¸´: 2 | ||
kunpeng361гæ (³õÈëÎÄ̳)
|
[ÇóÖú]
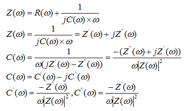
½»Á÷×迹Êý¾Ý¼ÆËãµçÈÝʵ²¿Ð鲿£¬ÎÞ·¨ÕÒµ½ÌØÕ÷ƵÂʺÍʱ¼ä³£ÊýµÄÎÊÌâ¡£
|
|
|
|
||
kunpeng361гæ (³õÈëÎÄ̳)
|
|
|
|
2Â¥2016-07-27 17:44:06
|
|
|
chen_xiaoqinгæ (СÓÐÃûÆø)
|
||
|
3Â¥2019-12-09 22:44:33
|
|













»Ø¸´´ËÂ¥
