| 查看: 476 | 回复: 1 | |
tearsup金虫 (正式写手)
|
[求助]
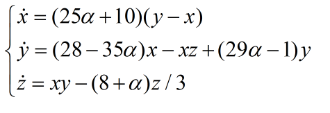
求助!在Simulink环境中进行混沌系统仿真模型建立 已有1人参与
|
|
|
|
|
2楼2016-08-26 14:40:30
|
|














回复此楼