| 查看: 611 | 回复: 3 | |||
[求助]
求教下MD中Beeman算法 ?? 已有1人参与
|
|
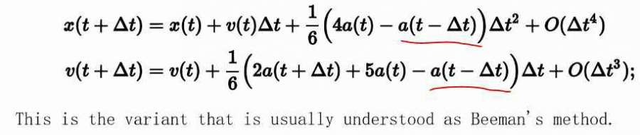
想用分子动力学中的Beeman算法求解粒子的运动方程。查了文献,算法的形式如下,需要用t和t-\Delta t时刻的加速度来预测t+\Delta t时刻的位置。想问下在写程序时,可以根据初始位置计算初始时刻的力,但我如何表示在 初始时刻 前一\Delta t时刻的加速度呢,难道是0吗?? 发自小木虫Android客户端 |
» 猜你喜欢
有院领导为了换新车,用横向课题经费买了俩车
已经有4人回复
有时候真觉得大城市人没有县城人甚至个体户幸福
已经有9人回复
CSC & MSCA 博洛尼亚大学能源材料课题组博士/博士后招生|MSCA经费充足、排名优
已经有6人回复
天津大学招2026.09的博士生,欢迎大家推荐交流(博导是本人)
已经有4人回复
同年申请2项不同项目,第1个项目里不写第2个项目的信息,可以吗
已经有3人回复
面上项目申报
已经有3人回复
酰胺脱乙酰基
已经有9人回复
博士延得我,科研能力直往上蹿
已经有7人回复
面上基金申报没有其他的参与者成吗
已经有5人回复
遇见不省心的家人很难过
已经有22人回复
» 本主题相关商家推荐: (我也要在这里推广)
jerkwin
专家顾问 (正式写手)
-

专家经验: +14 - 应助: 454 (硕士)
- 金币: 20699.1
- 散金: 148
- 红花: 81
- 帖子: 813
- 在线: 2648.3小时
- 虫号: 1023452
- 注册: 2010-05-19
- 专业: 理论和计算化学
- 管辖: 分子模拟
2楼2016-07-26 09:50:30
3楼2016-07-26 23:48:17
| 祝福 |
4楼2016-07-27 00:58:04













回复此楼