| 查看: 582 | 回复: 0 | ||
[求助]
请教一下分子动力学中的Beeman算法?
|
|
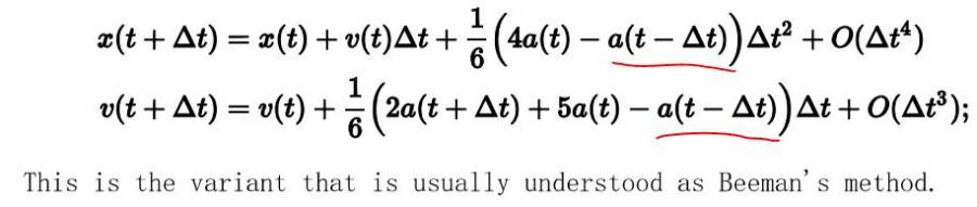
想用分子动力学中的Beeman算法求解粒子的运动方程。查了文献,算法的形式如下,需要用t和t-\Delta t时刻的加速度来预测t+\Delta t时刻的位置。想问下在写程序时,可以根据初始位置计算初始时刻的力,但我如何表示在 初始时刻 前一\Delta t时刻的加速度呢,难道是0吗?? |
» 猜你喜欢
请问还有没有用Latex写文章的小伙伴们?
已经有0人回复
光学工程学硕调剂信息
已经有32人回复
物理学I论文润色/翻译怎么收费?
已经有131人回复
欢迎加入课题组
已经有0人回复
散金币,求好运,祝面上顺利!
已经有78人回复
华东师范大学芯片设计徐珑真实水平咋样
已经有1人回复
调剂
已经有0人回复
【新加坡】纳米电子器件项目组有“联合培养博士生”名额
已经有0人回复
中德博士后2026项目5月30日截止- 国内博士后入站、德国两年全职
已经有0人回复
面向全球申请人的中德博士后2026项目5月30日截止- 国内博后入站德国两年全职
已经有0人回复
【新加坡】纳米电子器件项目组有“联合培养博士生”名额
已经有2人回复













回复此楼