| ²é¿´: 1350 | »Ø¸´: 4 | ||
LeBlanc½ð³æ (СÓÐÃûÆø)
|
[ÇóÖú]
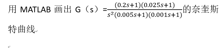
ÓÃMATLAB»nyquistÇúÏßÎÊÌâ ÒÑÓÐ2È˲ÎÓë
|
|
Çë¸÷λ¿´ÏÂÎҵĴúÂëÄÄÀï³ö´íÁË£¬»³öÀ´µÄͼ¾ÍÊDz»¶Ô¡£¡£¡£ )JC%ITQ_SROBY5`$87]ERJX.png AD27YC$FO{7}(F3EXIN3)1D.png ------------------------------ ²¹ÉÏÕýÈ·µÄͼ E~4_ZMJ]S%_HV1Y~X34]3I6.png |
» ²ÂÄãϲ»¶
299Çóµ÷¼Á
ÒѾÓÐ6È˻ظ´
286·ÖÈ˹¤ÖÇÄÜרҵÇëÇóµ÷¼ÁÔ¸Òâ¿ç¿¼£¡
ÒѾÓÐ5È˻ظ´
279Çóµ÷¼Á
ÒѾÓÐ3È˻ظ´
336Çóµ÷¼Á
ÒѾÓÐ3È˻ظ´
286Çóµ÷¼Á
ÒѾÓÐ3È˻ظ´
Ò»Ö¾Ô¸»ªÖпƼ¼´óѧ071000£¬Çóµ÷¼Á
ÒѾÓÐ3È˻ظ´
279·ÖÇóµ÷¼Á Ò»Ö¾Ô¸211
ÒѾÓÐ14È˻ظ´
332Çóµ÷¼Á
ÒѾÓÐ3È˻ظ´
0856²ÄÁÏר˶353Çóµ÷¼Á
ÒѾÓÐ3È˻ظ´
²ÄÁÏѧѧ˶080502 337Çóµ÷¼Á-Ò»Ö¾Ô¸»ªÖпƼ¼´óѧ
ÒѾÓÐ5È˻ظ´
wÄ껪
гæ (³õÈëÎÄ̳)
- Ó¦Öú: 1 (Ó×¶ùÔ°)
- ½ð±Ò: 55.3
- É¢½ð: 30
- Ìû×Ó: 25
- ÔÚÏß: 2.6Сʱ
- ³æºÅ: 4862881
- ×¢²á: 2016-07-22
- רҵ: Á÷ÌåÁ¦Ñ§
½¨ÒéÓÃhelp¿´Ò»ÏÂnyquistº¯ÊýµÄÓ÷¨£¬Õâ¸öÎÊÌâÓ¦¸Ã²»ÄÑ£¬ÒÔǰ´óÈýѧ×Ô¶¯¿ØÖÆÔÀíµÄʱºò×ö¹ýÕâ¸ö£¬ºóÀ´¶¼ÍüÁË¡«![]() ·¢×ÔСľ³æAndroid¿Í»§¶Ë |
2Â¥2016-07-22 23:51:14
wÄ껪
гæ (³õÈëÎÄ̳)
- Ó¦Öú: 1 (Ó×¶ùÔ°)
- ½ð±Ò: 55.3
- É¢½ð: 30
- Ìû×Ó: 25
- ÔÚÏß: 2.6Сʱ
- ³æºÅ: 4862881
- ×¢²á: 2016-07-22
- רҵ: Á÷ÌåÁ¦Ñ§
¡¾´ð°¸¡¿Ó¦Öú»ØÌû
¸Ðл²ÎÓ룬ӦÖúÖ¸Êý +1
|
¸ÕÊÔÁËһϣ¬¸úÄã½á¹ûÒ»Ñù£¬ÊDz»ÊÇÄãµÄGsд´íÁË£¿ ·¢×ÔСľ³æAndroid¿Í»§¶Ë |
3Â¥2016-07-23 00:15:25
ÈÎÈÌX
гæ (СÓÐÃûÆø)
- Ó¦Öú: 1 (Ó×¶ùÔ°)
- ½ð±Ò: 896.2
- ºì»¨: 1
- Ìû×Ó: 216
- ÔÚÏß: 38.6Сʱ
- ³æºÅ: 3542926
- ×¢²á: 2014-11-17
- רҵ: ÎïÁ÷Ó빩ӦÁ´¹ÜÀí
¡¾´ð°¸¡¿Ó¦Öú»ØÌû
¡ï ¡ï ¡ï ¡ï ¡ï ¡ï ¡ï ¡ï ¡ï ¡ï ¡ï ¡ï ¡ï ¡ï ¡ï ¡ï ¡ï ¡ï ¡ï ¡ï
¸Ðл²ÎÓ룬ӦÖúÖ¸Êý +1
LeBlanc: ½ð±Ò+20, ¡ï¡ï¡ï¡ï¡ï×î¼Ñ´ð°¸, ·Ç³£¸Ðл£¡ 2016-07-23 18:55:46
¸Ðл²ÎÓ룬ӦÖúÖ¸Êý +1
LeBlanc: ½ð±Ò+20, ¡ï¡ï¡ï¡ï¡ï×î¼Ñ´ð°¸, ·Ç³£¸Ðл£¡ 2016-07-23 18:55:46
|
matlab±à³ÌºÍͼ¶¼Ã»´í ºÍ´ð°¸Ò»Ö ÊéÉϵÄͼ°ÑyÖá·Å´óÁ˺ܶ౶Êý²ÅµÃ³öµÄÕâ¸öͼ£¬¶øÇÒ²¢Ã»Óа´ÕÕÏìÓ¦µÄ±ÈÀýÀ´» Äã·Å´ómatlabÔÚ£¨0,0£©´¦µÄͼÏñ¿ÉÒÔ·¢ÏÖNyquistͼÊÇ´ÓIIIÏóÏÞ¿ªÊ¼¹ýÐéÖáµ½IVÏóÏÞÔÙ¹ýÐéÖáµ½IIIÏóÏ޵ġ£ |
4Â¥2016-07-23 15:51:23
LeBlanc
½ð³æ (СÓÐÃûÆø)
- Ó¦Öú: 0 (Ó×¶ùÔ°)
- ½ð±Ò: 1362.8
- É¢½ð: 198
- Ìû×Ó: 271
- ÔÚÏß: 83.9Сʱ
- ³æºÅ: 3789318
- ×¢²á: 2015-04-05
- רҵ: »úе¹¤³Ì
5Â¥2016-07-23 18:55:36













»Ø¸´´ËÂ¥