24小时热门版块排行榜    

查看: 8058  |  回复: 15

obaica

禁言 (著名写手)

本帖内容被屏蔽

» 猜你喜欢

已阅   关注TA 给TA发消息 送TA红花 TA的回帖
回帖支持 ( 显示支持度最高的前 50 名 )

漫天飘雪

版主 (知名作家)

认真做事,踏实做人

引用回帖:
5楼: Originally posted by obaica at 2016-07-21 09:10:39
page not found……...

可以啊,我这边可以打开的。你要全部复制了(带文字的)。
http://blog.sciencenet.cn/u/pfliu89
6楼2016-07-21 11:10:48
已阅   关注TA 给TA发消息 送TA红花 TA的回帖

漫天飘雪

版主 (知名作家)

认真做事,踏实做人

【答案】应助回帖

★ ★ ★ ★ ★ ★
obaica: 金币+2, ★★★★★最佳答案 2016-07-21 19:10:26
obaica: 金币+4, ★★★★★最佳答案 2016-07-21 19:11:07
内容已删除
http://blog.sciencenet.cn/u/pfliu89
7楼2016-07-21 11:20:54
已阅   关注TA 给TA发消息 送TA红花 TA的回帖

漫天飘雪

版主 (知名作家)

认真做事,踏实做人

【答案】应助回帖

★ ★
obaica: 金币+2, ★★★★★最佳答案 2016-07-21 19:10:40
再次郑重声明:材料转自http://jerkwin.github.io/2014/04/17/材料弹性模量各向异性的三维图示方法/     如有不妥,望作者通知,我进行删除。

不同晶系的杨氏弹性模量
除三斜晶系外, 大多数晶体都具有对称性. 考虑到晶体的对称性, 某些弹性常数必定为零, 而某些则相等, 所以对具有对称性的晶体, 相应的的杨氏模量公式简单些. 下面两张图总结了不同晶系刚度矩阵和柔顺矩阵的特点, 以及不同晶系杨氏弹性模量的公式
杨氏模量投影图
杨氏模量投影图-1  

1 三斜晶系(Triclinic system)
三斜晶系是所有七大晶系中对称性最低的晶系, 因此拥有最多的独立矩阵元, 其形式为:
杨氏模量投影图-2
共有21个独立的矩阵元, 杨氏模量
杨氏模量投影图-3
2 单斜晶系(Monoclinic system)
考虑对称性后, 单斜晶系有13个独立的矩阵单元:
杨氏模量投影图-4
3 正交晶系(Orthorhombic system)
正交晶系拥有相当高的对称性, 其独立矩阵元的数目为9个.
杨氏模量投影图-5

4 四方晶系(Tetragonal system)
4.1 四方晶系 4,4ˉ,4/m4,4ˉ,4/m

对于具有 4,4ˉ,4/m4,4ˉ,4/m 对称操作的四方晶系, 其独立矩阵元的数目为7个:
杨氏模量投影图-6
4.2 四方晶系 422,4mm,4ˉ2m,4/mmm
对于具有 422,4mm,4ˉ2m,4/mmm422,4mm,4ˉ2m,4/mmm 对称操作的四方晶系, 独立矩阵元的数目仅为6个:
杨氏模量投影图-7
5 三方晶系(Trigonal system)
5.1 三方晶系 3,3ˉ

三方晶系 3,3ˉ3,3ˉ 的独立矩阵元的数目为7个.
杨氏模量投影图-8
5.2 三方晶系 32,3m,3ˉm
三方晶系 32,3m,3ˉm32,3m,3ˉm 独立矩阵元的数目为6个.
杨氏模量投影图-9
6 六方晶系(Hexagonal system)
六方晶系共有5个独立的矩阵元.
杨氏模量投影图-10



7 立方晶系(Cubic system)
立方晶系是所有晶系中对称度最高的晶系, 其独立矩阵元数目仅为3个, C11,C12,C44
杨氏模量投影图-11
http://blog.sciencenet.cn/u/pfliu89
8楼2016-07-21 11:27:12
已阅   关注TA 给TA发消息 送TA红花 TA的回帖

漫天飘雪

版主 (知名作家)

认真做事,踏实做人

【答案】应助回帖

★ ★
obaica: 金币+2, ★★★★★最佳答案 2016-07-21 19:10:51
最后声明:材料转自http://jerkwin.github.io/2014/04/17/材料弹性模量各向异性的三维图示方法/     如有不妥,望作者通知,我进行删除。我只是数据的搬运工,不是原创者。排版可能有乱码,请参照原文。

杨氏模量的极值
对于立方晶体, 我们可以用与[100], [010], [001]三个晶向的方向余弦来表示任意方向的杨氏模量, 结果如下
杨氏模量投影图-12

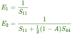
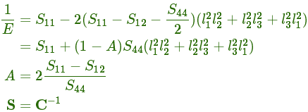
其中 S11,S12,S44分别为立方晶体的三个独立的弹性柔顺系数, 柔顺矩阵 S 与弹性矩阵 C 的矩阵互为逆矩阵. l1,l2,l3为空间某一方向与晶体主轴的方向余弦. A 为各向异性值. 因此, 知道了三个柔顺弹性常数的值, 即可求得空间任一方向的杨氏模量 E, E 的大小只与方向有关.

由于 l21+l22+l23=1,l1,l2,l3∈[0,1] 可以知道杨氏模量的两个极值为
杨氏模量投影图-13
前者对应于坐标轴方向, 后者对应于体对角线方法. 根据各向异性值 AA 与1的大小不同, 相应于极小或极大值.对于其他晶系杨氏模量的极值, 不易得到解析公式, 直接使用数值方法搜索即可.


杨氏弹性模量各向异性的图示
为了直观地表达弹性模量的各向异性, 人们常常将其用三维图来表示. 这种各向异性的直观图示方法具有一般性, 在科学数据可视化中经常遇到. 量子化学中常用的原子轨道的角度分布图就是一例. 具体原理是, 在球坐标系 (r,θ,ϕ中, 对仅依赖于方向的函数 F(θ,ϕ 中, 做曲面 r=F(θ,ϕ. 显然, 当 F 为常数时, 此曲面为球面, 各个方向函数值相同, 不存在各向异性; 当 FF 随 (θ,ϕ 变化时, 曲面便可表示出函数值的变化.

mathematica中可使用球坐标绘图函数SphericalPlot3D来做出这种图, 很多文献中的图就是利用这个函数做的, 请参考这个函数的说明和相应的弹性模量示例.

考虑到Matlab使用更广泛些, 下面给出基于Matlab的绘图方法.

利用Matlab绘制各向异性图时, 有两种实现方法. 一种是利用球坐标绘图, 像mathematica那样. 虽然Matlab没有球坐标绘图函数, 但可以先将球坐标转换为直角坐标然后再绘图, 也不是很麻烦. 另一种方法是直接使用直角坐标, 利用等值面函数, 绘制函数 r−E=0r−E=0 的等值面.

下面的代码绘制几种金属的杨氏模量三维各向异性曲面, 弹性常数来源于这里.

function Aniso
clc;clear;close all;

%% 处理数据, 计算矩阵以及弹性模量的极值

% 单斜晶系测试
% C=zeros(6);
% C(1,1)=125;C(1,2)=87; C(1,3)=90; C(1,4)=0; C(1,5)=-9;C(1,6)=0;
%            C(2,2)=169;C(2,3)=105;C(2,4)=0; C(2,5)=-7;C(2,6)=0;
%                       C(3,3)=128;C(3,4)=0; C(3,5)=11;C(3,6)=0;
%                                  C(4,4)=53;C(4,5)=0; C(4,6)=-0.6;
%                                            C(5,5)=36;C(5,6)=0;
%                                                      C(6,6)=48;
% for i=2:6; for j=1:i-1; C(i,j)=C(j,i); end; end

% 立方晶系
C11=240.20; C12= 125.60; C44= 28.20; % Nb
% C11=522.40; C12= 160.80; C44=204.40; % W
% C11=107.30; C12=  60.90; C44= 28.30; % Al
% C11=346.70; C12= 250.70; C44= 76.50; % Pt
% C11=231.40; C12= 134.70; C44=116.40; % Fe
% C11=124.00; C12=  93.40; C44= 46.10; % Ag
% C11= 49.50; C12=  42.30; C44= 14.90; % Pb
% C11= 13.50; C12=  11.44; C44=  8.78; % Li
C=zeros(6);
C(1:3,1:3)=C12;
for i=1:3; C(i,i)=C11; end
for i=4:6; C(i,i)=C44; end

S=inv(C);
S11=S(1,1); S12=S(1,2); S13=S(1,3); S14=S(1,4); S15=S(1,5); S16=S(1,6);
            S22=S(2,2); S23=S(2,3); S24=S(2,4); S25=S(2,5); S26=S(2,6);
                        S33=S(3,3); S34=S(3,4); S35=S(3,5); S36=S(3,6);
                                    S44=S(4,4); S45=S(4,5); S46=S(4,6);
                                                S55=S(5,5); S56=S(5,6);
                                                            S66=S(6,6);

% 立方晶系极值公式
A=2*(S11-S12)/S44;
Emax=1/S11; Emin=1/(S11+(1-A)*S44/3);
if(A>1); Emin=1/S11; Emax=1/(S11+(1-A)*S44/3); end
fprintf('A=%9.4f Emin=%9.4f Emax=%9.4f\n', A, Emin, Emax);

%% 使用球坐标作图

[theta, phi]=meshgrid( linspace(0,pi), linspace(0,2*pi) );

L1=sin(theta).*cos(phi);
L2=sin(theta).*sin(phi);
L3=cos(theta);

% 三斜晶系杨氏模量公式, 可用于任意晶系
E=S11 * L1.^4 + S22 * L2.^4 + S33 * L3.^4 ...
+ (S44+2*S23) * (L2.*L3).^2 + (S55+2*S13) * (L1.*L3).^2 + (S66+2*S12) * (L1.*L2).^2 ...
+ 2*((S14+S56) * L1.^2 +       S24 * L2.^2 +       S34 * L3.^2) .* L2.*L3 ...
+ 2*(      S15 * L1.^2 + (S25+S46) * L2.^2 +       S35 * L3.^2) .* L1.*L3 ...
+ 2*(      S16 * L1.^2 +       S26 * L2.^2 + (S36+S45) * L3.^2) .* L1.*L2;

% 立方晶系
% E=S11+(1-A)*S44*( (L1.*L2).^2+(L2.*L3).^2+(L3.*L1).^2 );
E=1./E;

x=E.*L1; y=E.*L2; z=E.*L3;
% 或使用函数转为直角坐标
% [x,y,z] = sph2cart(v, pi/2-u,E);

surf(x,y,z, E, 'FaceColor','interp', 'EdgeColor','none');

% 作模量的某一切面图
% [X,Y,Z]=meshgrid(linspace(-Emax,Emax));
% contourslice(X,Y,Z,X,x,y,z,[0 0])

%% 或使用直角坐标等值面方法作图

% [x,y,z]=meshgrid(linspace(-Emax,Emax));
% r=sqrt(x.^2+y.^2+z.^2);
% L1=x./r; L2=y./r; L3=z./r;
%
% % 立方晶系
% E=S11+(1-A)*S44*( (L1.*L2).^2+(L2.*L3).^2+(L3.*L1).^2 );
% E=1./E;
% v=r-E;
%
% p=patch(isosurface(x,y,z,v,0));
% isocolors(x,y,z,E,p);
% isonormals(x,y,z,v,p);
% set(p,'FaceColor','interp','EdgeColor','none');

%% 设置图片格式, 输出图片

axis tight; title 'Nb A=0.5';
view(45,30); daspect([1 1 1]);
camlight; lighting phong;

colormap jet; % 低版本Matlab默认的填色模式
cbar=colorbar; title(cbar, 'GPa');

set(gca,'position',[0.12,0.05, 0.6,0.85]);
set(gcf,'position',[20,20, 1000,900]);
set(gcf, 'PaperPositionMode', 'auto');
print(gcf,'-dpng','-r300','Nb.png')

end

注意
1.matlab默认的渲染颜色取决于Z轴大小, 这不符合我们的要求, 因为我们需要用颜色表示E的大小, 这样图形更直观.
2.matlab球坐标转换函数使用的球坐标采用数学约定, 与物理上常用的不同, 使用仰角El, 而非俯视角
θθ, El+θ=π/2
杨氏模量投影图-14
3. 不同晶系杨氏模量的表达式不同, 只要把代码里E的表达式修改成相应的方程即可.
4. 杨氏模量在某一平面内的截面图形可利用极坐标或直角坐标绘制, 原理类似.
为了让大家有一个更直观的了解, 我们把具有不同各向异性值的立方金属选取具有代表性几个, 列于下表
几种金属的弹性数据(单位: GPa)
杨氏模量投影图-15


相应的三维杨氏模量图如下
杨氏模量投影图-16



参考资料

T. C. T. Ting; On Anisotropic Elastic Materials for which Young’s Modulus E(n) is Independent of n or the Shear Modulus G(n,m) is Independent of n and m; J Elasticity 81(3):271-292, 2006; 10.1007/s10659-005-9016-2
Kevin M. Knowles, Philip R. Howie; The Directional Dependence of Elastic Stiffness and Compliance Shear Coefficients and Shear Moduli in Cubic Materials; J Elast 120(1):87-108, 2014; 10.1007/s10659-014-9506-1
Matlab绘图高级部分
科学计算可视化: 三维流场绘图
Applied Mechanics of Solids: Constitutive Models Relations between Stress and Strain
球坐标
http://blog.sciencenet.cn/u/pfliu89
9楼2016-07-21 11:34:06
已阅   关注TA 给TA发消息 送TA红花 TA的回帖

xiao_ma523

铁杆木虫 (著名写手)

楼主,请问你的投影图做出来了么。。。请教下代码。。。
10楼2016-10-06 19:58:37
已阅   关注TA 给TA发消息 送TA红花 TA的回帖

xuchunhong88

铜虫 (初入文坛)

引用回帖:
6楼: Originally posted by 漫天飘雪 at 2016-07-21 11:10:48
可以啊,我这边可以打开的。你要全部复制了(带文字的)。...

您好,请问代码块定义函数对吗
14楼2016-12-20 10:50:21
已阅   关注TA 给TA发消息 送TA红花 TA的回帖
普通回帖

obaica

禁言 (著名写手)

本帖内容被屏蔽

2楼2016-07-20 21:42:00
已阅   关注TA 给TA发消息 送TA红花 TA的回帖

漫天飘雪

版主 (知名作家)

认真做事,踏实做人

【答案】应助回帖

★ ★ ★ ★ ★ ★ ★ ★ ★ ★
感谢参与,应助指数 +1
obaica: 金币+10, ★★★很有帮助 2016-07-21 09:05:09
楼主可以参考这篇文章
http://jerkwin.github.io/2014/04/17/材料弹性模量各向异性的三维图示方法/

» 本帖已获得的红花(最新10朵)

http://blog.sciencenet.cn/u/pfliu89
3楼2016-07-20 22:51:17
已阅   关注TA 给TA发消息 送TA红花 TA的回帖

obaica

禁言 (著名写手)

送红花一朵
本帖内容被屏蔽

4楼2016-07-21 00:00:54
已阅   关注TA 给TA发消息 送TA红花 TA的回帖

obaica

禁言 (著名写手)

本帖内容被屏蔽

5楼2016-07-21 09:10:39
已阅   关注TA 给TA发消息 送TA红花 TA的回帖
相关版块跳转 我要订阅楼主 obaica 的主题更新
最具人气热帖推荐 [查看全部] 作者 回/看 最后发表
[考研] 0703化学调剂 ,六级已过,有科研经历 +14 曦熙兮 2026-03-15 14/700 2026-03-21 19:12 by ColorlessPI
[考研] 311求调剂 +7 26研0 2026-03-15 7/350 2026-03-21 19:06 by ColorlessPI
[考研] 材料学硕301分求调剂 +6 Liyouyumairs 2026-03-21 6/300 2026-03-21 17:42 by JourneyLucky
[考研] 311求调剂 +3 勇敢的小吴 2026-03-20 3/150 2026-03-21 17:40 by ColorlessPI
[考研] 277材料科学与工程080500求调剂 +6 自由煎饼果子 2026-03-16 6/300 2026-03-21 17:21 by 学员8dgXkO
[考研] 初始318分求调剂(有工作经验) +3 1911236844 2026-03-17 3/150 2026-03-21 02:33 by JourneyLucky
[考研] 材料 336 求调剂 +3 An@. 2026-03-18 4/200 2026-03-21 01:39 by JourneyLucky
[考研] 一志愿南昌大学,327分,材料与化工085600 +9 Ncdx123456 2026-03-19 9/450 2026-03-20 23:41 by lovewei0727
[考研] 287求调剂 +7 晨昏线与星海 2026-03-19 8/400 2026-03-20 22:19 by JourneyLucky
[考研] 一志愿苏州大学材料求调剂,总分315(英一) +5 sbdksD 2026-03-19 5/250 2026-03-20 22:10 by luoyongfeng
[考研] 260求调剂 +3 朱芷琳 2026-03-20 3/150 2026-03-20 20:35 by 学员8dgXkO
[考研] 材料学求调剂 +4 Stella_Yao 2026-03-20 4/200 2026-03-20 20:28 by ms629
[考研] 环境工程调剂 +9 大可digkids 2026-03-16 9/450 2026-03-20 17:38 by 醉在风里
[考研] 广西大学家禽遗传育种课题组2026年硕士招生(接收计算机专业调剂) +3 123阿标 2026-03-17 3/150 2026-03-20 15:58 by 飞行琦
[考研] 材料学硕318求调剂 +5 February_Feb 2026-03-19 5/250 2026-03-19 23:51 by 23Postgrad
[考研] 085601材料工程专硕求调剂 +10 慕寒mio 2026-03-16 10/500 2026-03-19 15:26 by 丁丁*
[考研] 材料与化工求调剂 +7 为学666 2026-03-16 7/350 2026-03-19 14:48 by 尽舜尧1
[考研] 材料考研调剂 +3 xwt。 2026-03-19 3/150 2026-03-19 11:22 by w沐阳w
[考研] 344求调剂 +6 knight344 2026-03-16 7/350 2026-03-18 20:13 by walc
[考研] 材料专硕306英一数二 +10 z1z2z3879 2026-03-16 13/650 2026-03-18 14:20 by 007_lilei
信息提示
请填处理意见