24小时热门版块排行榜    

查看: 360  |  回复: 0

rainbowguy

银虫 (正式写手)

[求助] 求助: 什么是 Lyapunov 量?

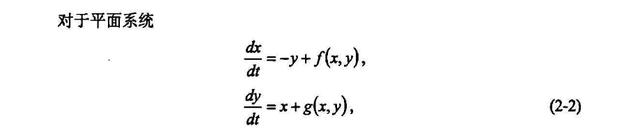
请问大虾什么是Lyapunov量,只在一篇文献中看到了定义(Lk为Lyapunov量),没有看懂,请具体解释一下,谢谢!

求助: 什么是 Lyapunov 量?
1.png


求助: 什么是 Lyapunov 量?-1
2.png
回复此楼

» 猜你喜欢

已阅   回复此楼   关注TA 给TA发消息 送TA红花 TA的回帖
相关版块跳转 我要订阅楼主 rainbowguy 的主题更新
最具人气热帖推荐 [查看全部] 作者 回/看 最后发表
[考研] 一志愿华理,数一英一285求A区调剂 +6 AZMK 2026-03-25 8/400 2026-03-26 21:22 by baoball
[考研] 325求调剂 +3 Aoyijiang 2026-03-23 3/150 2026-03-26 20:46 by 不吃魚的貓
[考研] 341求调剂 +4 青柠檬1 2026-03-26 4/200 2026-03-26 20:34 by 不吃魚的貓
[考研] 08开头275求调剂 +3 拉谁不重要 2026-03-26 3/150 2026-03-26 20:22 by barlinike
[考研] 一志愿211院校 344分 东北农业大学生物学学硕,求调剂 +3 丶风雪夜归人丶 2026-03-26 3/150 2026-03-26 19:35 by 求调剂zz
[考研] 0703化学/290求调剂/本科经历丰富/工科也可 +7 丹青奶盖 2026-03-26 7/350 2026-03-26 19:18 by macy2011
[考研] 266分求材料化工冶金矿业等专业的调剂 +3 哇呼哼呼哼 2026-03-26 3/150 2026-03-26 19:16 by JourneyLucky
[考研] 机械学硕310分,数一英一,一志愿211本科双非找调剂信息 +3 @357 2026-03-25 3/150 2026-03-26 16:34 by by.MENG
[考研] 085601求调剂总分293英一数二 +4 钢铁大炮 2026-03-24 4/200 2026-03-26 16:28 by dick_runner
[考研] 086000生物与医药292求调剂 +6 小小陈小小 2026-03-22 9/450 2026-03-26 15:58 by dick_runner
[考研] 085600 材料与化工 329分求调剂 +9 Mr. Z 2026-03-25 9/450 2026-03-26 10:36 by baoball
[考研] 309求调剂 +4 gajsj 2026-03-25 5/250 2026-03-26 00:27 by Dyhoer
[考研] 321求调剂 +3 璞玉~~ 2026-03-25 3/150 2026-03-25 19:07 by Zhanglab-TJU
[考研] 333求调剂 +6 87639 2026-03-21 11/550 2026-03-25 16:17 by 87639
[考研] 285求调剂 +3 AZMK 2026-03-24 3/150 2026-03-25 12:23 by userper
[考研] 085404电子信息284分求调剂 +4 13659058978 2026-03-24 4/200 2026-03-24 12:15 by syl20081243
[考研] 333求调剂 +3 ALULU4408 2026-03-23 3/150 2026-03-23 19:04 by macy2011
[考研] 336求调剂 +5 rmc8866 2026-03-21 5/250 2026-03-21 17:24 by 学员8dgXkO
[考研] 332求调剂 +3 凤凰院丁真 2026-03-20 3/150 2026-03-21 10:27 by luoyongfeng
[考研] 一志愿西安交通大学 学硕 354求调剂211或者双一流 +3 我想要读研究生 2026-03-20 3/150 2026-03-20 20:13 by JourneyLucky
信息提示
请填处理意见