| 查看: 628 | 回复: 2 | ||
[求助]
matlab积分曲线绘制遇到问题,求解,急急急 已有1人参与
|
|
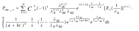
matlab菜鸟绘制积分曲线图,目标公式和代码、运行结果在图片中,仿真总是出错,求解答。 绘图的目标公式.png 调用函数1.png 调用函数2(积分函数).png 代码上半部分.png 代码下半部分.png 运行的错误代码.png |
» 猜你喜欢
建环,能源,土木老师路过看一看!!!
已经有5人回复
一志愿华东理工大学,080500学硕,317分,求调剂
已经有15人回复
初试成绩337找调剂
已经有3人回复
材料专硕 调剂
已经有5人回复
求材料调剂,一志愿郑州大学289分
已经有13人回复
320求调剂
已经有3人回复
一志愿0817化学工程与技术,求调剂
已经有12人回复
土木水利328分求调剂
已经有6人回复
数一英一285求调剂
已经有7人回复
333求调剂
已经有6人回复
我怀念的TQ
木虫 (著名写手)
- 应助: 18 (小学生)
- 金币: 5165.8
- 散金: 83
- 红花: 8
- 帖子: 1245
- 在线: 376小时
- 虫号: 4243427
- 注册: 2015-11-24
- 专业: 无神论

2楼2016-07-21 10:35:28
3楼2016-07-21 11:30:07














回复此楼