| 查看: 237 | 回复: 0 | ||
[求助]
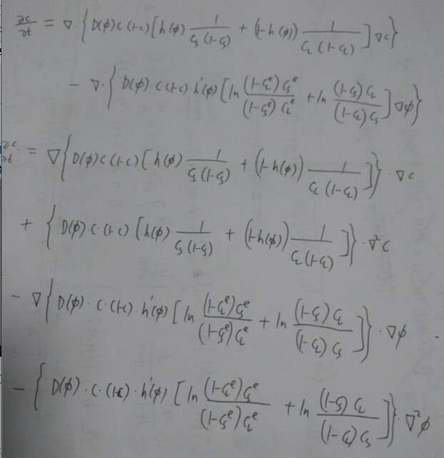
请教高手 这个用广义型偏微分求解 , 是不是比用系数型偏微分 简单些??
|
|
请教高手 这个用广义型偏微分求解 , 是不是比用系数型偏微分 简单些?? 为了导入系数型偏微分,我展开后很长(如图3所示,图3是第一张A4纸,刚开始张开),用了14页A4纸, 1.jpg 2.jpg 3.jpg |
» 猜你喜欢
本科211,293分请求调剂
已经有4人回复
求调剂
已经有3人回复
085400电子信息319求调剂(接受跨专业调剂)
已经有5人回复
268求调剂
已经有9人回复
一志愿双非085502,267分,过四级求调剂
已经有3人回复
一志愿085404,总分291,四级已过,求调剂
已经有4人回复
297求调剂
已经有12人回复
26调剂 086003
已经有3人回复
265求调剂
已经有20人回复
271分求调剂学校
已经有11人回复














回复此楼