| 查看: 11204 | 回复: 1 | ||
[求助]
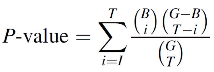
用R语言的phyper计算下图中公式的超几何分布 已有1人参与
|
|
例如群落总数:5260 (G),样本总数为131 (T), 群落中属于某一类的数目 1998 (B), 样本中属于该类的数目62 (T) phyper的参数对于到图片公式应该是q=I, m=B, n=G-B,k=T 求R语言中phyper的表达式?? 待计算p-value.JPG |
» 猜你喜欢
天津大学招2026.09的博士生,欢迎大家推荐交流(博导是本人)
已经有6人回复
AI 太可怕了,写基金时,提出想法,直接生成的文字比自己想得深远,还有科学性
已经有6人回复
有院领导为了换新车,用横向课题经费买了俩车
已经有9人回复
酰胺脱乙酰基
已经有13人回复
博士延得我,科研能力直往上蹿
已经有8人回复
同年申请2项不同项目,第1个项目里不写第2个项目的信息,可以吗
已经有4人回复
有时候真觉得大城市人没有县城人甚至个体户幸福
已经有10人回复
遇见不省心的家人很难过
已经有22人回复
FMStation
至尊木虫 (知名作家)
- 信息EPI: 1
- 应助: 591 (博士)
- 贵宾: 0.03
- 金币: 18232.7
- 红花: 97
- 帖子: 8891
- 在线: 1487.9小时
- 虫号: 2400059
- 注册: 2013-04-04
- 专业: 计算机应用技术
【答案】应助回帖
★ ★ ★ ★
841983473: 金币+4, ★有帮助 2016-08-07 20:21:34
841983473: 金币+4, ★有帮助 2016-08-07 20:21:34
|
phyper(62,1998,5260,131) Number of items in the sample that are classified as successes : 62 样本中属于该类的数目62 (T) Number of items in the pop that are classified as successes : 1998 群落中属于某一类的数目 1998 (B), pop size : 5260 群落总数:5260 (G), sample size : 131 样本总数为131 (T), 参考: https://stackoverflow.com/questi ... test-phyper#8384094 |
2楼2016-08-05 16:54:51













回复此楼