Znn3bq.jpeg
²é¿´: 1132  |  »Ø¸´: 0

×í¾ÆÇàÅ£1989

Òø³æ (СÓÐÃûÆø)

[ÇóÖú] ÇóÖú¡¾×ÔÓÉìØµÄ¶¨Òå¼°¼ÆËã¡¿

¸÷λÊýѧ´óÉñ£º
       ×î½üÔÚ×öÒ»¸öÏîÄ¿£¬Óõ½ÁË×ÔÓÉìØµÄ¸ÅÄ¿´Á˺ܶàÎÄÏ×£¬Ò»Ö±Ã»ÓÐŪ¶®£¬ÏÂÃæÊǼ¸ÆªÎÄÏ×ÖÐ×ÔÓÉìØµÄ¶¨Ò壬ÇóÖú¸÷λ¸ø½²½âÒ»ÏÂÆäÖм¸¸ö¸ÅÄ¼°×ÔÓÉìØµÄ¼ÆËã¡£

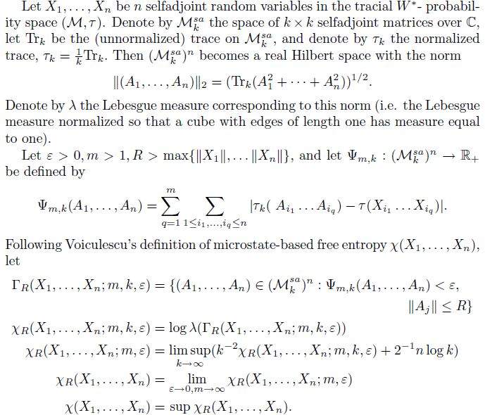
µÚһƪÎÄÕÂÖе͍Ò壺
ÇóÖú¡¾×ÔÓÉìØµÄ¶¨Òå¼°¼ÆËã¡¿

µÚ¶þƪÎÄÕÂÖе͍Ò壺
ÇóÖú¡¾×ÔÓÉìØµÄ¶¨Òå¼°¼ÆËã¡¿-1
ÇóÖú¡¾×ÔÓÉìØµÄ¶¨Òå¼°¼ÆËã¡¿-2

µÚÈýƪÎÄÕÂÖе͍Ò壺
ÇóÖú¡¾×ÔÓÉìØµÄ¶¨Òå¼°¼ÆËã¡¿-3
ÇóÖú¡¾×ÔÓÉìØµÄ¶¨Òå¼°¼ÆËã¡¿-4

ÓÉÓÚÎÒ²»ÊÇÊýѧרҵµÄ£¬ºÃ¶àרҵÃû´Ê²»Ì«¶®£¬Óм¸¸öÎÊÌâÇë½Ì¸÷λÊýѧ´óÉñ£º
£¨1£©W*-¸ÅÂʿռäÖУ¬W*-ÊÇʲôÒâ˼£¬(M, ¦Ó)ÖÐÁ½¸ö²ÎÊý·Ö±ð´ú±íʲô£¿
ÎÒµÄÀí½âÊÇMÊǸÅÂʿռäÖеÄÔªËØ£¨¾ØÕ󣩣¬¦ÓÊǾØÕóMµÄ¼££¬²»ÖªµÀ¶Ô²»¶Ô¡£
£¨2£©ÒÔµÚÈýƪÎÄÕÂÖе͍ÒåΪÀý£¬Mk,Mksa,( Mksa)n,·Ö±ðÊÇָʲôÒâ˼£¬ÒÔ¼°( Mksa)nÔõô¼ÆËãµÃµ½£¿
ÎÒµÄÀí½âÊÇMkÊÇÒ»¸öºÜ¶à¾ØÕó×é³ÉµÄ¼¯ºÏ»ò¿Õ¼ä£¬MksaÊÇÆäÖеÄ×Ô¹²éî¾ØÕó×é³ÉµÄ¼¯ºÏ£¬ÄÇô( Mksa)nÊÇÊ²Ã´ÄØ£¬ÎÒûÓп´¶®
£¨3£©ÔÚ×îºóµÃµ½µÄ×ÔÓÉìØ¶¨ÒåµÄ¹«Ê½ÖУ¬¦«Ó릣R()£¨ÆäÖÐRΪϱ꣩·Ö±ðÊÇʲôÒâ˼£¬ÔõôÔËË㣿
ÇóÖú¡¾×ÔÓÉìØµÄ¶¨Òå¼°¼ÆËã¡¿-5
£¨4£©Í¨¹ýÉÏÃæµÄ¶¨ÒåÖ»ÄÜÁ˽â×ÔÓÉìØµÄÒ»¸ö»ù±¾¸ÅÄÄÇô×ÔÓÉìØÓÐÊ²Ã´ÌØÊâµÄÎïÀíº¬ÒåÂð£¬×ÔÓÉìØÓëÐÅÏ¢ìØÓÖÓÐʲôÁªÏµºÍÇø±ð£¿

ÒÔÉÏÊÇÎҵöÎÊÌ⣬Çë¸÷λ´óÉñ½â´ð£¬²»Ê¤¸Ð¼¤£¡
»Ø¸´´ËÂ¥

» ²ÂÄãϲ»¶

ÒÑÔÄ   »Ø¸´´ËÂ¥   ¹Ø×¢TA ¸øTA·¢ÏûÏ¢ ËÍTAºì»¨ TAµÄ»ØÌû
Ïà¹Ø°æ¿éÌø×ª ÎÒÒª¶©ÔÄÂ¥Ö÷ ×í¾ÆÇàÅ£1989 µÄÖ÷Ìâ¸üÐÂ
×î¾ßÈËÆøÈÈÌûÍÆ¼ö [²é¿´È«²¿] ×÷Õß »Ø/¿´ ×îºó·¢±í
[¿¼ÑÐ] 291·Öµ÷¼Á +4 Éϰ¶Ð¡Ó¨¼ÓÓÍ 2026-04-09 5/250 2026-04-11 11:49 by zhq0425
[¿¼ÑÐ] µ÷¼ÁÇóÖú +4 ¹ûÈ»ÓÐÎÒ 2026-04-11 5/250 2026-04-11 11:03 by Ñô¹âÏòÉÏ666
[¿¼ÑÐ] Ò»Ö¾Ô¸211£¬0703»¯Ñ§305·ÖÇóµ÷¼Á +21 ÑÏÎ÷Î÷Ï· 2026-04-06 27/1350 2026-04-11 10:56 by 1028907439
[¿¼ÑÐ] 352 Çóµ÷¼Á +5 yzion 2026-04-11 5/250 2026-04-11 10:47 by qingpingzhu
[¿¼ÑÐ] Ò»Ö¾Ô¸Î÷±±¹¤Òµ´óѧ289 085602 +31 yangæÃ 2026-04-10 32/1600 2026-04-11 10:13 by onlyÖÜ
[¿¼ÑÐ] Ò»Ö¾Ô¸985»úеѧ˶380Çóµ÷¼Á +5 ¹Ø¹ØöÂð¯10 2026-04-11 5/250 2026-04-11 10:10 by ÖªÄî¡£A
[¿¼ÑÐ] 293Çóµ÷¼Á +6 ÓÂÔ¶¿â°®314 2026-04-08 6/300 2026-04-11 10:08 by zhq0425
[¿¼ÑÐ] 277 ÊýÒ»104£¬Ñ§Ë¶£¬Çóµ÷¼Á +19 Æ¿×ÓPZ 2026-04-09 21/1050 2026-04-11 09:39 by ÄæË®³Ë·ç
[¿¼ÑÐ] 295Çóµ÷¼Á +5 ?ÒªÉϰ¶? 2026-04-05 6/300 2026-04-11 08:27 by zhq0425
[²ÄÁϹ¤³Ì] ²ÄÁϵ÷¼ÁÍÆ¼ö +8 µ°¸âx2 2026-04-07 8/400 2026-04-10 23:13 by Ftglcn90
[¿¼ÑÐ] 291 Çóµ÷¼Á +29 »¯¹¤2026½ì±ÏÒµÉ 2026-04-09 29/1450 2026-04-10 22:55 by dick_runner
[¿¼ÑÐ] ÖпÆÔº×Ü·Ö315Çóµ÷¼Á +8 lallalh 2026-04-09 8/400 2026-04-10 19:30 by dick_runner
[¿¼ÑÐ] 307Çóµ÷¼Á +8 tzq94092 2026-04-10 8/400 2026-04-10 17:33 by 286640313
[¿¼ÑÐ] 337Çóµ÷¼Á +4 Gky09300550£¬ 2026-04-09 4/200 2026-04-09 17:18 by ÅÁ¶ûÂíÀ­ÌØ
[¿¼ÑÐ] 0860004 Çóµ÷¼Á 309·Ö +6 Yin DY 2026-04-09 6/300 2026-04-09 10:19 by °¡Àî999
[¿¼ÑÐ] 318Çóµ÷¼Á +13 ykyhsa 2026-04-05 15/750 2026-04-08 21:37 by wj165256
[¿¼ÑÐ] 304Çóµ÷¼Á +4 luoye0105 2026-04-05 4/200 2026-04-06 21:05 by ľ×Ó¾ý1218
[¿¼ÑÐ] ÉúÎïÓëÒ½Ò©Çóµ÷¼Á +7 heguanhua 2026-04-05 8/400 2026-04-06 18:41 by macy2011
[¿¼ÑÐ] 322Çóµ÷¼Á +3 àźߺߺã 2026-04-05 3/150 2026-04-05 19:52 by nepu_uu
[¿¼ÑÐ] ²ÄÁϵ÷¼Á +7 dxyµ÷¼Á 2026-04-04 7/350 2026-04-05 09:15 by İÇï26
ÐÅÏ¢Ìáʾ
ÇëÌî´¦ÀíÒâ¼û